Официальное опубликование правовых актов
ОФИЦИАЛЬНОЕ ОПУБЛИКОВАНИЕ
Постановление Правительства Санкт-Петербурга от 19.04.2022 № 343
"Об утверждении проекта планировки в проектом межевания территории для размещения линейного объекта "Железнодорожный путь необщего пользования"
Номер опубликования: 7800202204250003
Дата опубликования: 25.04.2022
Страница №14 из 17:
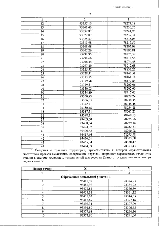
Увеличить