Официальное опубликование правовых актов
ОФИЦИАЛЬНОЕ ОПУБЛИКОВАНИЕ
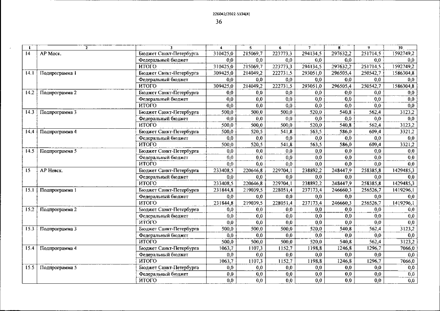
Постановление Правительства Санкт-Петербурга от 19.04.2022 № 337
"О внесении изменения в постановление Правительства Санкт-Петербурга от 04.06.2014 № 452"
Номер опубликования: 7800202204220003
Дата опубликования: 22.04.2022
Страница №37 из 117:
Увеличить