Официальное опубликование правовых актов
ОФИЦИАЛЬНОЕ ОПУБЛИКОВАНИЕ
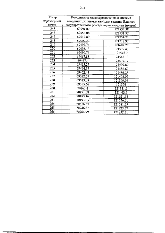
Закон Санкт-Петербурга от 29.07.2020 № 369-89
"О внесении изменений в Закон Санкт-Петербурга "О границах объединенных зон охраны объектов культурного наследия, расположенных на территории Санкт-Петербурга, режимах использования земель и требованиях к градостроительным регламентам в границах указанных зон"
Номер опубликования: 7800202008060001
Дата опубликования: 06.08.2020
Страница №1329 из 1329:
Увеличить