Официальное опубликование правовых актов
ОФИЦИАЛЬНОЕ ОПУБЛИКОВАНИЕ
Постановление Правительства Санкт-Петербурга от 25.04.2019 № 255
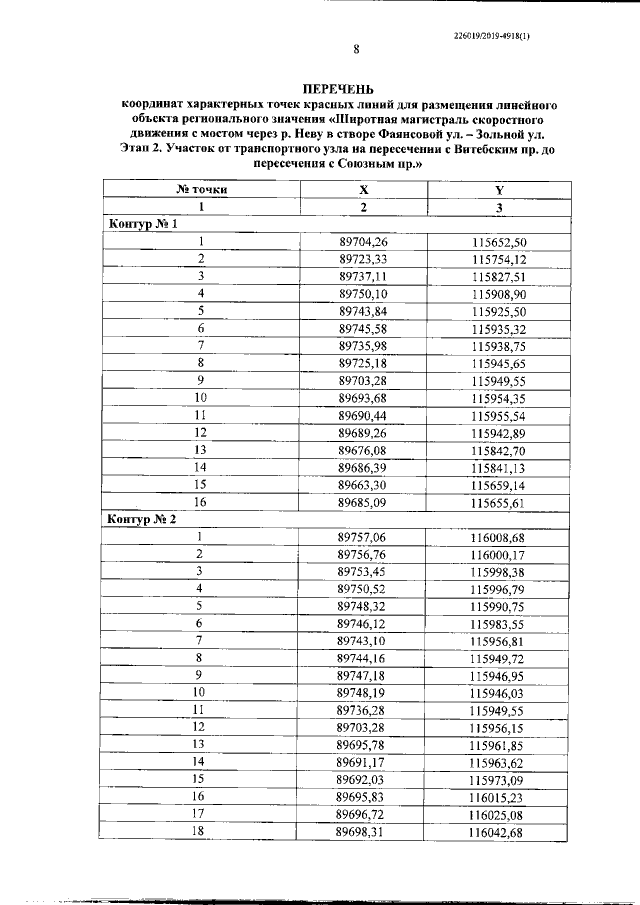
"Об утверждении проекта планировки с проектом межевания территории для размещения линейного объекта регионального значения "Широтная магистраль скоростного движения с мостом через р. Неву в створе Фаянсовой ул. - Зольной ул. Этап 2. Участок от транспортного узла на пересечении с Витебским пр. до пересечения с Союзным пр."
Номер опубликования: 7800201904300012
Дата опубликования: 30.04.2019
Страница №10 из 155:
Увеличить