Официальное опубликование правовых актов
ОФИЦИАЛЬНОЕ ОПУБЛИКОВАНИЕ
Постановление Правительства Санкт-Петербурга от 04.04.2019 № 188
"О внесении изменений в постановление Правительства Санкт-Петербурга от 23.06.2014 № 497"
Номер опубликования: 7800201904100004
Дата опубликования: 10.04.2019
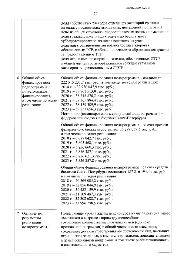
Страница №56 из 235:
Увеличить