Официальное опубликование правовых актов
ОФИЦИАЛЬНОЕ ОПУБЛИКОВАНИЕ
Постановление Правительства Санкт-Петербурга от 02.11.2017 № 925
"О внесении изменений в постановление Правительства Санкт-Петербурга от 17.06.2014 № 488"
Номер опубликования: 7800201711090016
Дата опубликования: 09.11.2017
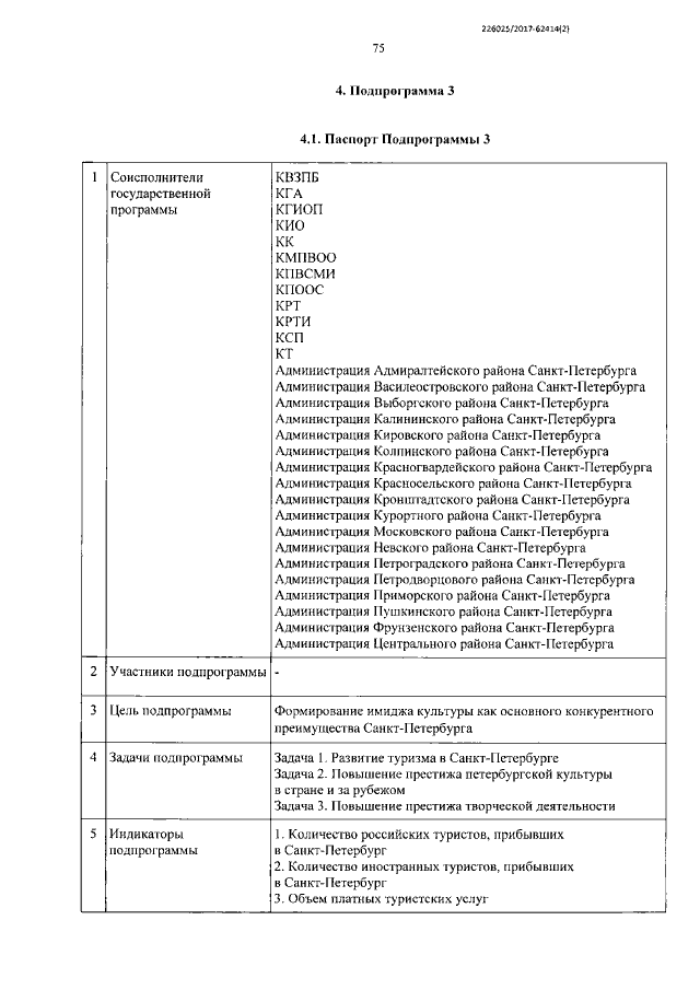
Страница №76 из 106:
Увеличить