Официальное опубликование правовых актов
ОФИЦИАЛЬНОЕ ОПУБЛИКОВАНИЕ
Постановление Правительства Санкт-Петербурга от 29.08.2017 № 732
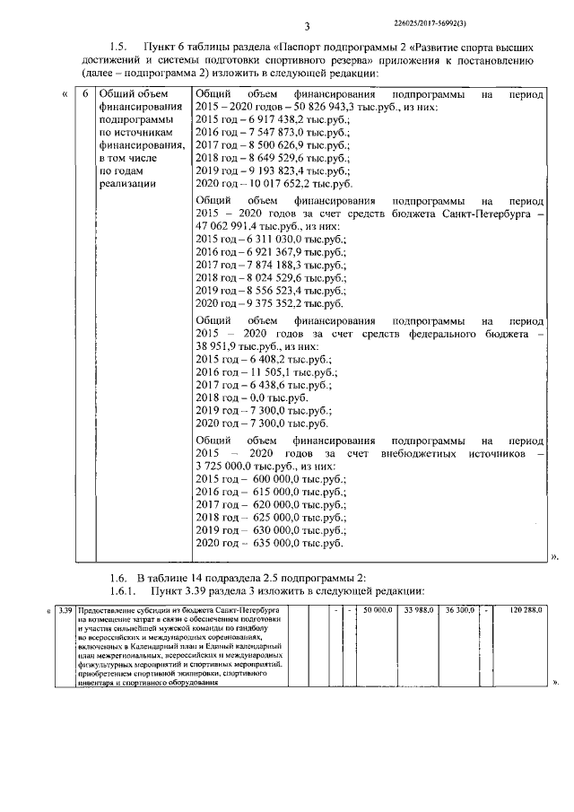
"О внесении изменений в постановление Правительства Санкт-Петербурга от 23.06.2014 №498 и утверждении порядков предоставления в 2017 году субсидий, предусмотренных Комитету по физической культуре и спорту Законом Санкт-Петербурга "О бюджете Санкт-Петербурга на 2017 год и на плановый период 2018 и 2019 годов"
Номер опубликования: 7800201709050012
Дата опубликования: 05.09.2017
Страница №3 из 20:
Увеличить