Официальное опубликование правовых актов
ОФИЦИАЛЬНОЕ ОПУБЛИКОВАНИЕ
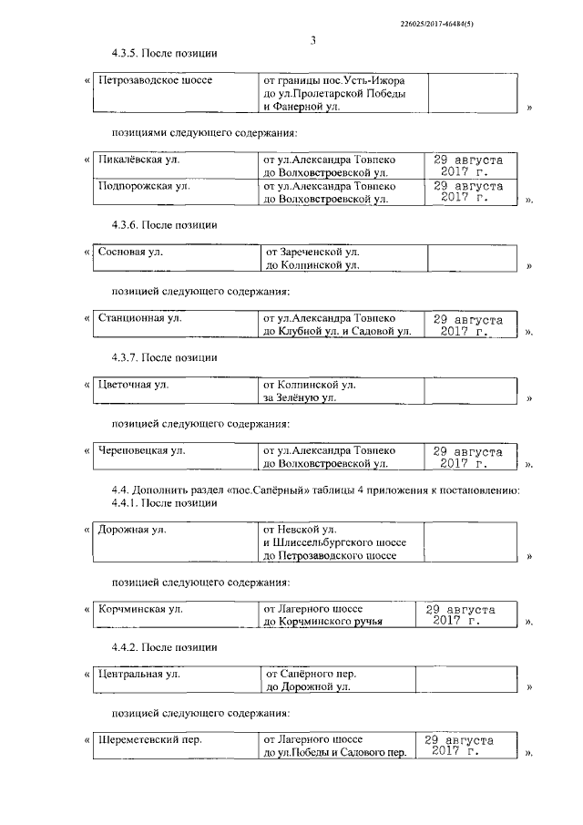
Постановление Правительства Санкт-Петербурга от 29.08.2017 № 723
"О присвоении наименований безымянным проездам и об изменении наименования улицы в Колпинском районе Санкт-Петербурга"
Номер опубликования: 7800201709050005
Дата опубликования: 05.09.2017
Страница №3 из 10:
Увеличить