Официальное опубликование правовых актов
ОФИЦИАЛЬНОЕ ОПУБЛИКОВАНИЕ
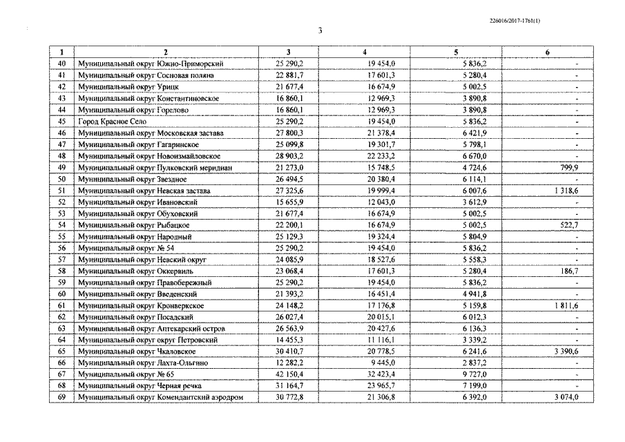
Постановление Правительства Санкт-Петербурга от 31.01.2017 № 56
"Об утверждении нормативов формирования расходов на оплату труда депутатов, выборных должностных лиц местного самоуправления внутригородских муниципальных образований Санкт-Петербурга, осуществляющих свои полномочия на постоянной основе, муниципальных служащих и содержание органов местного самоуправления внутригородских муниципальных образований Санкт-Петербурга на 2017 год"
Номер опубликования: 7800201702030003
Дата опубликования: 03.02.2017
Страница №4 из 6:
Увеличить