Официальное опубликование правовых актов
ОФИЦИАЛЬНОЕ ОПУБЛИКОВАНИЕ
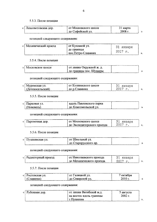
Постановление Правительства Санкт-Петербурга от 31.01.2017 № 46
"О присвоении наименований безымянным проездам и мосту, возвращении исторического наименования Колхозной ул. в г. Павловске и изменении наименования проезда в Пушкинском районе Санкт-Петербурга"
Номер опубликования: 7800201702020008
Дата опубликования: 02.02.2017
Страница №6 из 12:
Увеличить