Официальное опубликование правовых актов
ОФИЦИАЛЬНОЕ ОПУБЛИКОВАНИЕ
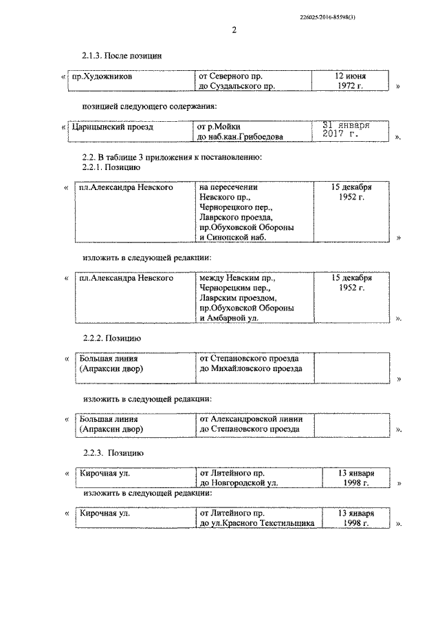
Постановление Правительства Санкт-Петербурга от 31.01.2017 № 43
"О присвоении наименований безымянным проездам в Центральном районе Санкт-Петербурга"
Номер опубликования: 7800201702020002
Дата опубликования: 02.02.2017
Страница №2 из 3:
Увеличить