Официальное опубликование правовых актов
ОФИЦИАЛЬНОЕ ОПУБЛИКОВАНИЕ
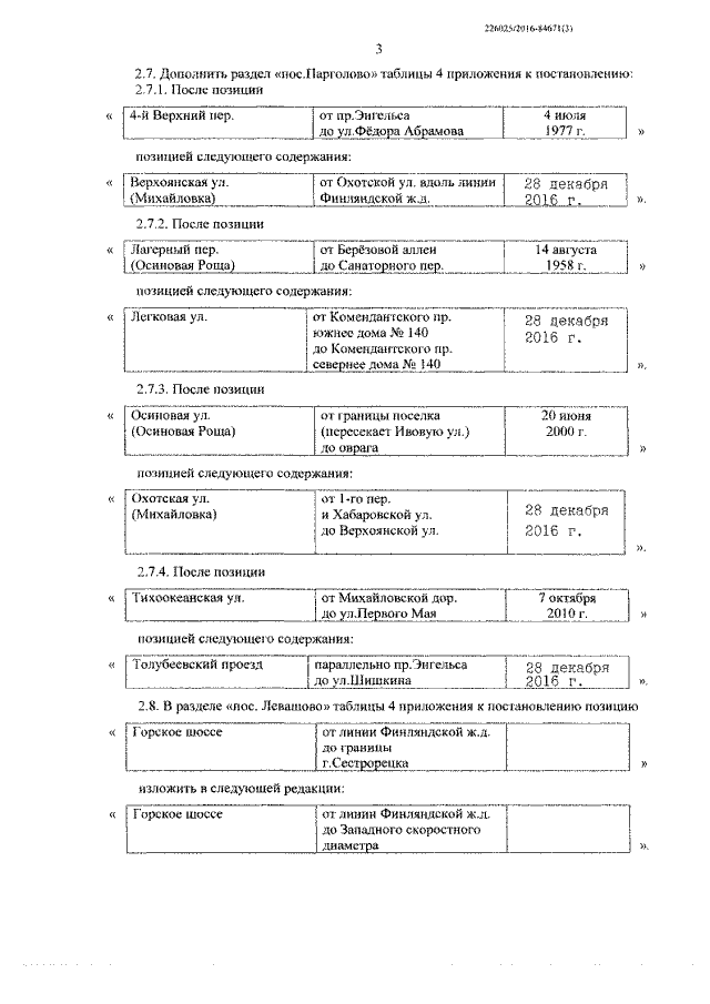
Постановление Правительства Санкт-Петербурга от 28.12.2016 № 1251
"О присвоении наименований безымянным проездам в Выборгском районе Санкт-Петербурга"
Номер опубликования: 7800201612300002
Дата опубликования: 30.12.2016
Страница №3 из 4:
Увеличить