Официальное опубликование правовых актов
ОФИЦИАЛЬНОЕ ОПУБЛИКОВАНИЕ
Постановление Губернатора Санкт-Петербурга от 16.12.2016 № 100-пг
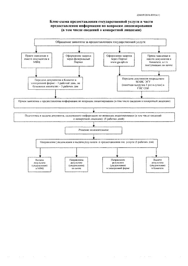
"Об утверждении Административного регламента Комитета по здравоохранению по предоставлению государственной услуги по лицензированию медицинской деятельности медицинских организаций (за исключением медицинских организаций, подведомственных федеральным органам исполнительной власти) на территории Санкт-Петербурга"
Номер опубликования: 7800201612230014
Дата опубликования: 23.12.2016
Страница №59 из 93:
Увеличить