Официальное опубликование правовых актов
ОФИЦИАЛЬНОЕ ОПУБЛИКОВАНИЕ
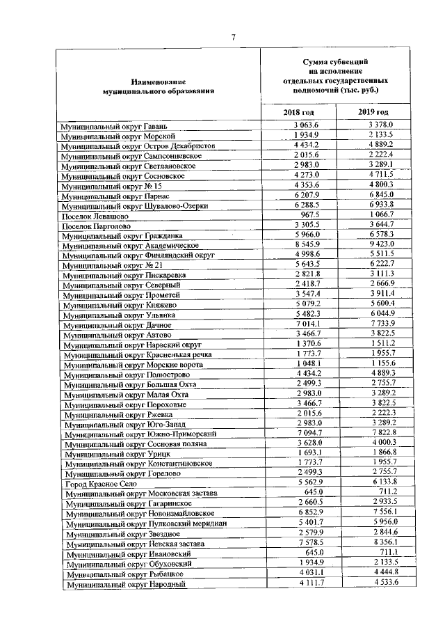
Закон Санкт-Петербурга от 13.12.2016 № 699-113
"О бюджете Санкт-Петербурга на 2017 год и на плановый период 2018-2019 годов."
Номер опубликования: 7800201612200003
Дата опубликования: 20.12.2016
Страница №1211 из 1311:
Увеличить