Официальное опубликование правовых актов
ОФИЦИАЛЬНОЕ ОПУБЛИКОВАНИЕ
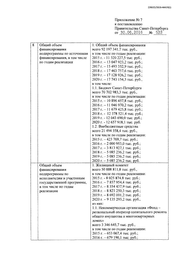
Постановление Правительства Санкт-Петербурга от 30.06.2016 № 533
"О внесении изменений и дополнений в постановление Правительства Санкт-Петербурга от 23.06.2014 №491"
Номер опубликования: 7800201607070015
Дата опубликования: 07.07.2016
Страница №67 из 87:
Увеличить