Официальное опубликование правовых актов
ОФИЦИАЛЬНОЕ ОПУБЛИКОВАНИЕ
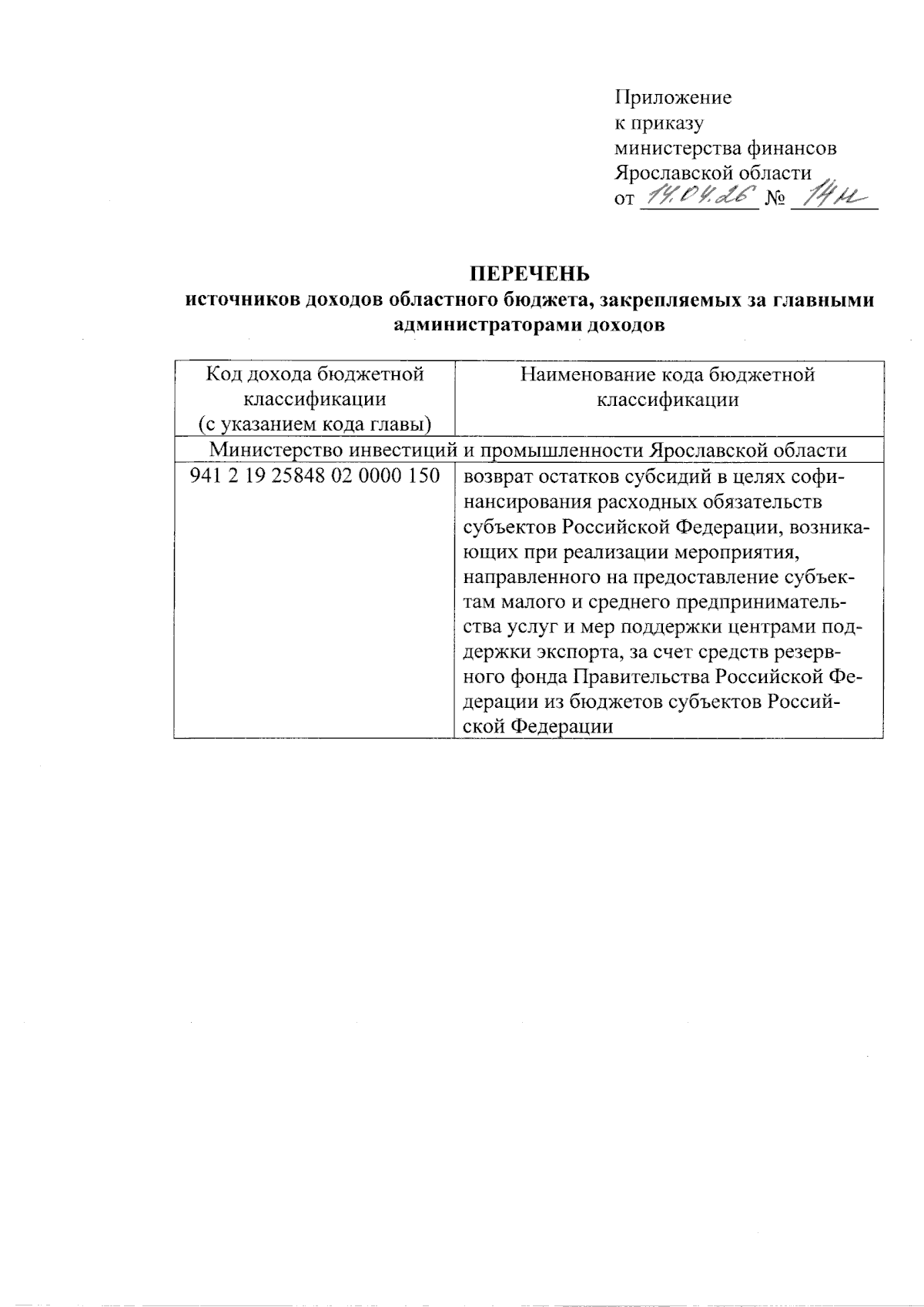
Приказ министерства финансов Ярославской области от 14.04.2026 № 14н
"О закреплении источников доходов областного бюджета"
(Зарегистрирован 16.04.2026 № 02-17507)
Номер опубликования: 7601202604170003
Дата опубликования: 17.04.2026
Страница №2 из 2:
Увеличить