Официальное опубликование правовых актов
ОФИЦИАЛЬНОЕ ОПУБЛИКОВАНИЕ
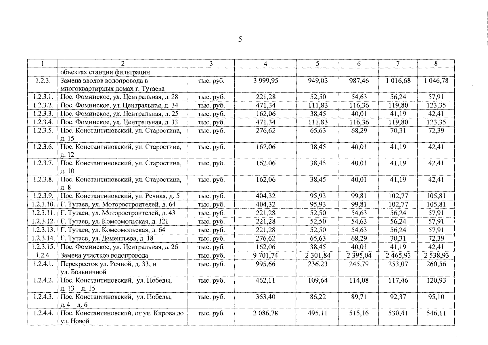
Приказ министерства тарифного регулирования Ярославской области от 18.12.2025 № 360-вс/во
"Об установлении тарифов на питьевую, техническую воду и водоотведение для общества с ограниченной ответственностью "ЭкоВода" (Тутаевский муниципальный округ) на 2025 – 2028 годы"
(Зарегистрирован 18.12.2025 № 43-17051)
Номер опубликования: 7601202512190021
Дата опубликования: 19.12.2025
Страница №12 из 26:
Увеличить