Официальное опубликование правовых актов
ОФИЦИАЛЬНОЕ ОПУБЛИКОВАНИЕ
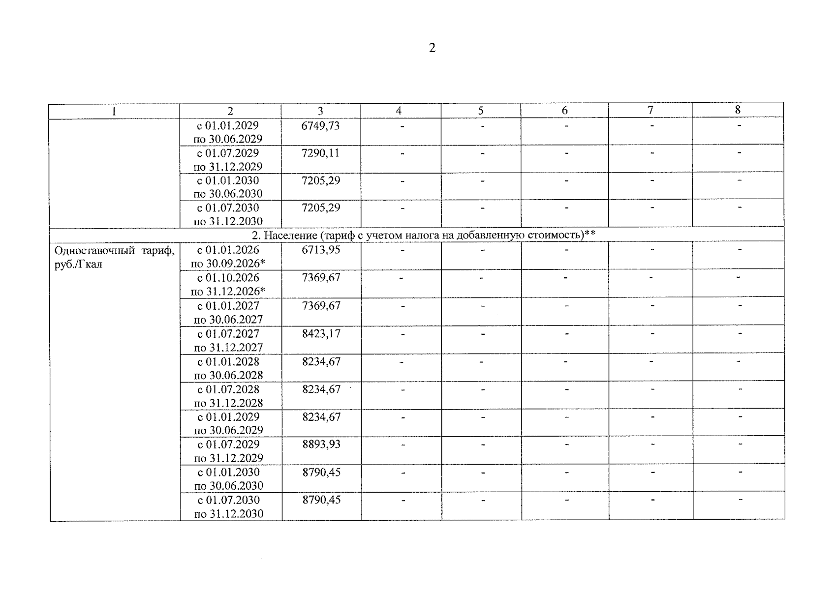
Приказ министерства тарифного регулирования Ярославской области от 17.12.2025 № 321-тэ
"Об установлении тарифов на тепловую энергию, поставляемую потребителям акционерным обществом "Яркоммунсервис" (филиалом "Октябрьский"), осуществляющим деятельность на территории Октябрьского и Родионовского сельских округов Некоузского муниципального округа Ярославской области, на 2026 – 2030 годы"
(Зарегистрирован 17.12.2025 № 43-17010)
Номер опубликования: 7601202512180028
Дата опубликования: 18.12.2025
Страница №4 из 6:
Увеличить