Официальное опубликование правовых актов
ОФИЦИАЛЬНОЕ ОПУБЛИКОВАНИЕ
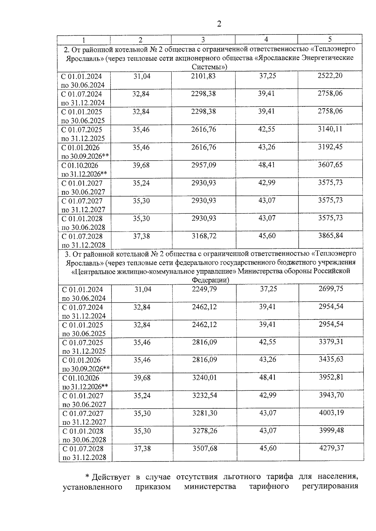
Приказ министерства тарифного регулирования Ярославской области от 17.12.2025 № 319-ви
"О внесении изменений в приказ министерства тарифного регулирования Ярославской области от 19.12.2023 № 405-г/вс"
(Зарегистрирован 17.12.2025 № 43-17008)
Номер опубликования: 7601202512180010
Дата опубликования: 18.12.2025
Страница №4 из 10:
Увеличить