Официальное опубликование правовых актов
ОФИЦИАЛЬНОЕ ОПУБЛИКОВАНИЕ
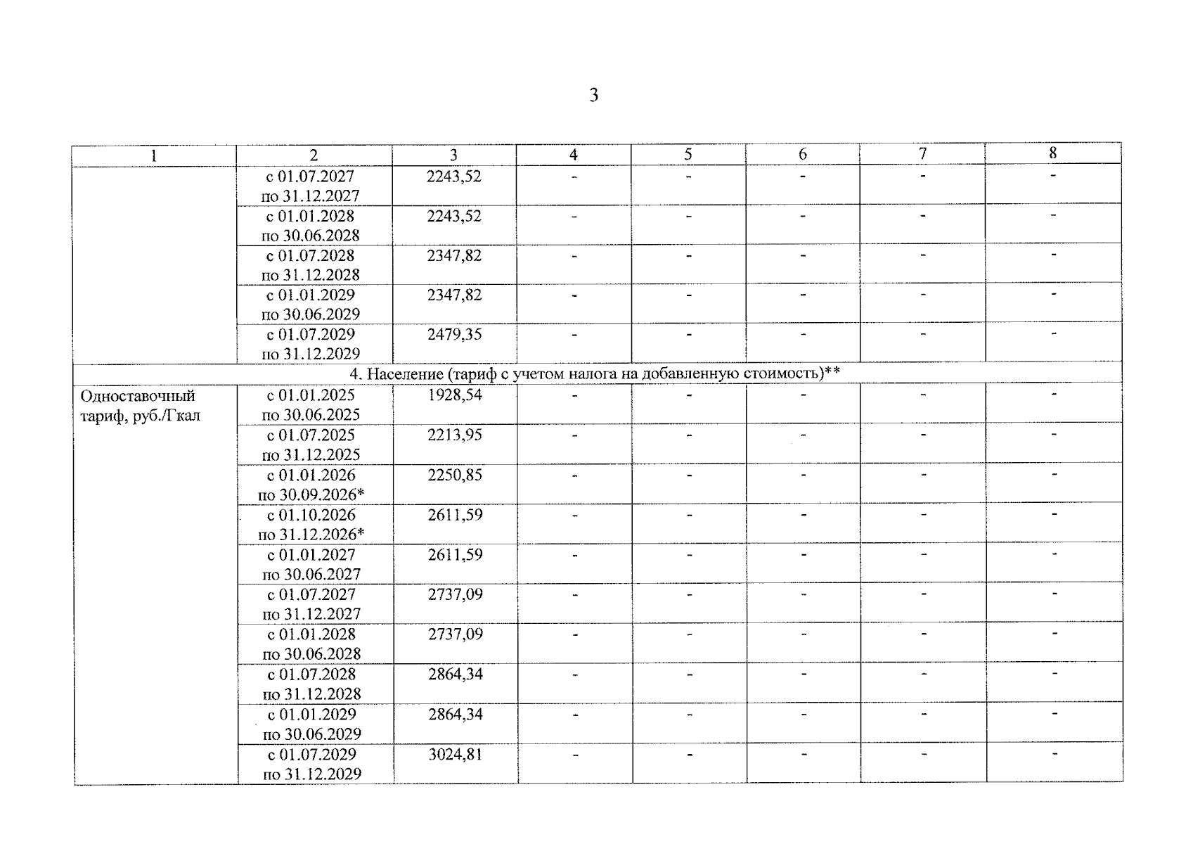
Приказ министерства тарифного регулирования Ярославской области от 16.12.2025 № 260-ви
"О внесении изменений в приказ министерства тарифного регулирования Ярославской области от 17.12.2024 № 324-тэ"
(Зарегистрирован 16.12.2025 № 43-16945)
Номер опубликования: 7601202512170023
Дата опубликования: 17.12.2025
Страница №7 из 8:
Увеличить