Официальное опубликование правовых актов
ОФИЦИАЛЬНОЕ ОПУБЛИКОВАНИЕ
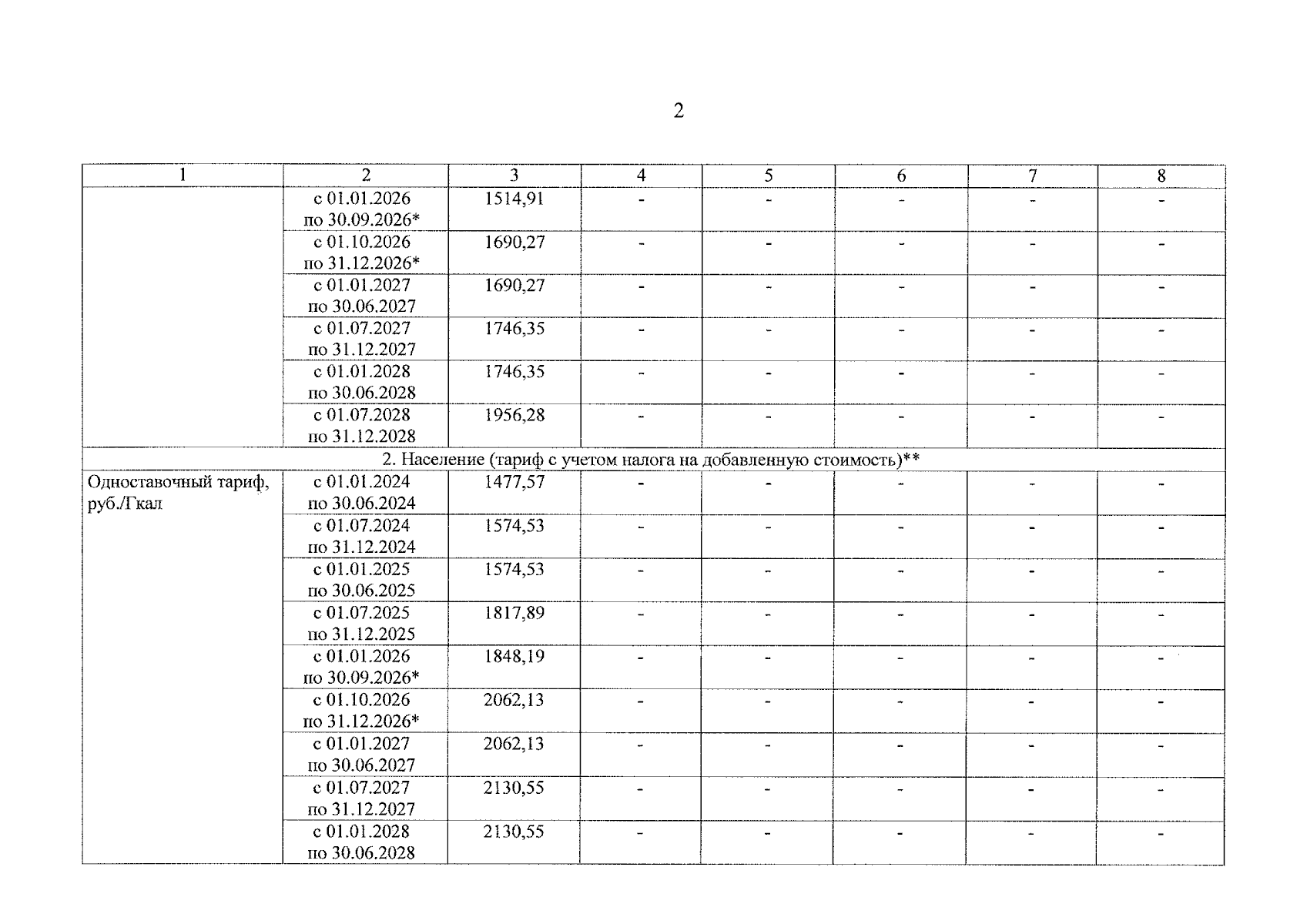
Приказ министерства тарифного регулирования Ярославской области от 16.12.2025 № 250-ви
"О внесении изменений в приказ министерства тарифного регулирования Ярославской области от 19.12.2023 № 374-тэ"
(Зарегистрирован 16.12.2025 № 43-16935)
Номер опубликования: 7601202512160025
Дата опубликования: 16.12.2025
Страница №6 из 7:
Увеличить