Официальное опубликование правовых актов
ОФИЦИАЛЬНОЕ ОПУБЛИКОВАНИЕ
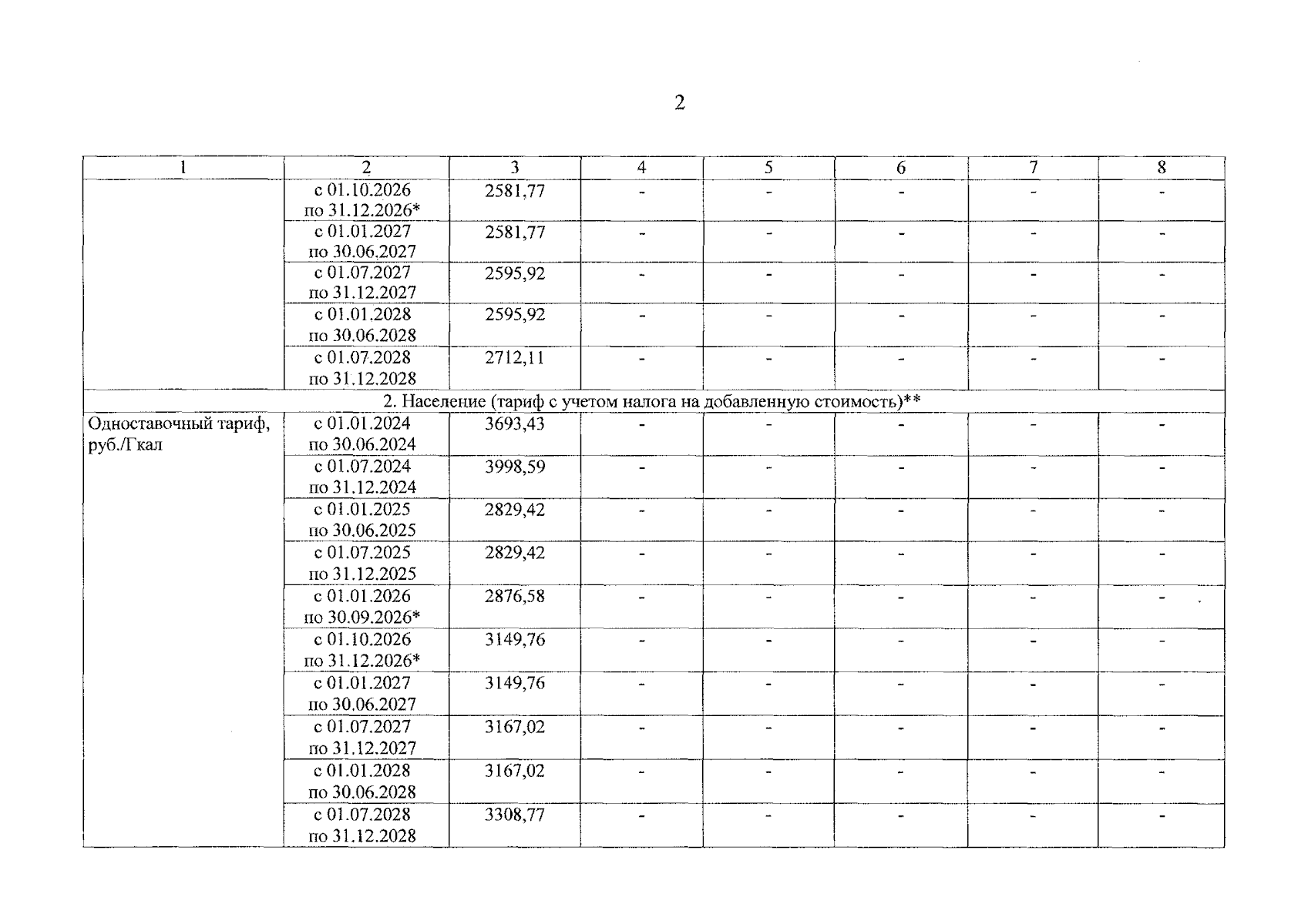
Приказ министерства тарифного регулирования Ярославской области от 11.12.2025 № 216-ви
"О внесении изменений в приказ министерства тарифного регулирования Ярославской области от 04.12.2023 № 234-тэ"
(Зарегистрирован 12.12.2025 № 43-16882)
Номер опубликования: 7601202512150016
Дата опубликования: 15.12.2025
Страница №6 из 7:
Увеличить