Официальное опубликование правовых актов
ОФИЦИАЛЬНОЕ ОПУБЛИКОВАНИЕ
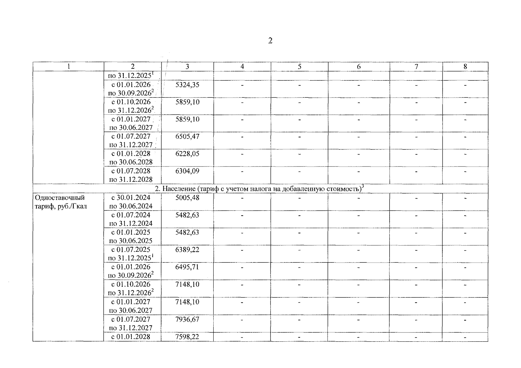
Приказ министерства тарифного регулирования Ярославской области от 11.12.2025 № 221-ви
"О внесении изменений в приказ министерства тарифного регулирования Ярославской области от 30.01.2024 № 13-тэ"
(Зарегистрирован 12.12.2025 № 43-16887)
Номер опубликования: 7601202512150008
Дата опубликования: 15.12.2025
Страница №7 из 14:
Увеличить