Официальное опубликование правовых актов
ОФИЦИАЛЬНОЕ ОПУБЛИКОВАНИЕ
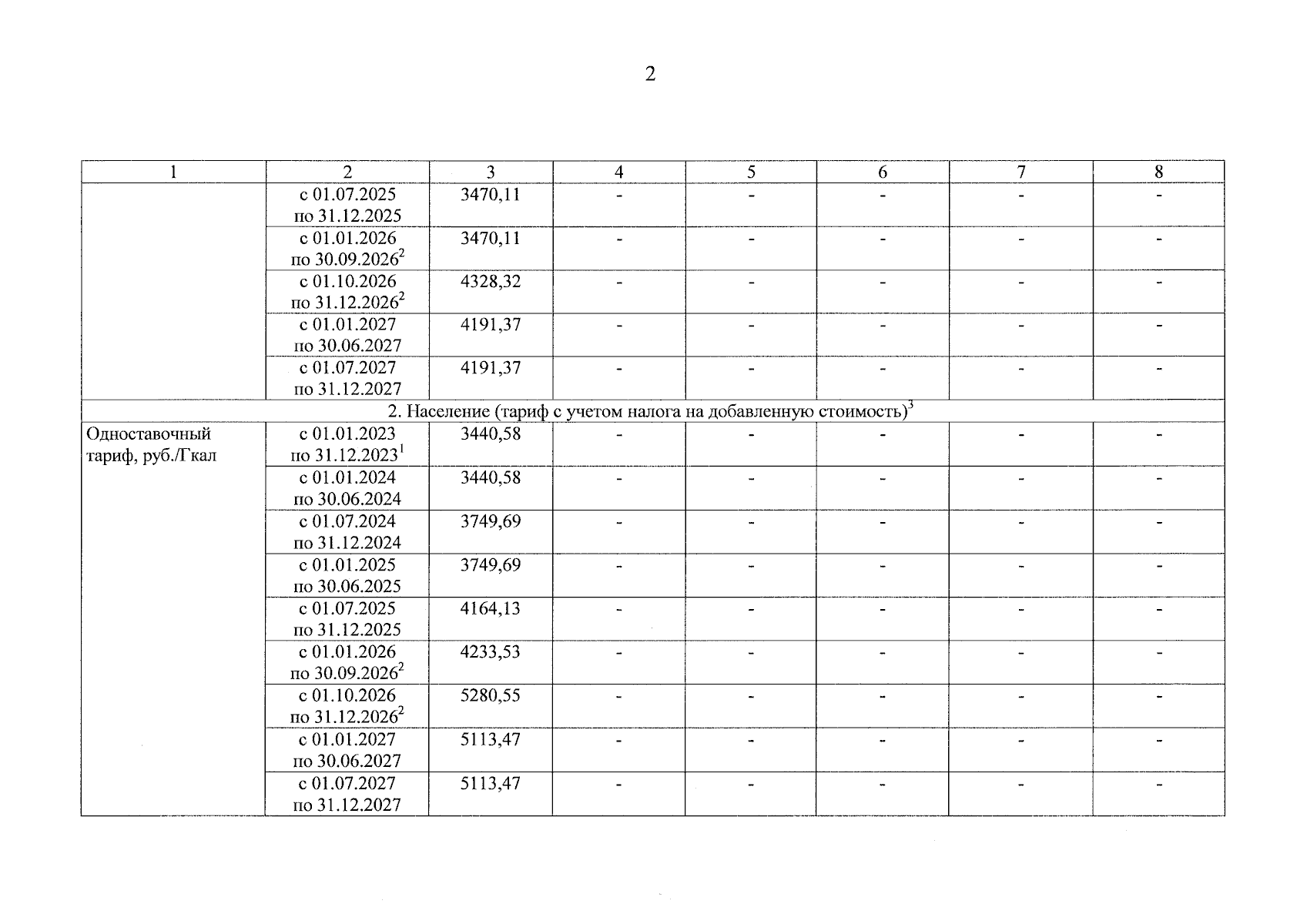
Приказ министерства тарифного регулирования Ярославской области от 11.12.2025 № 175-ви
"О внесении изменения в приказ департамента регулирования тарифов Ярославской области от 16.11.2022 № 87-тэ"
(Зарегистрирован 11.12.2025 № 43-16838)
Номер опубликования: 7601202512120048
Дата опубликования: 12.12.2025
Страница №4 из 5:
Увеличить