Официальное опубликование правовых актов
ОФИЦИАЛЬНОЕ ОПУБЛИКОВАНИЕ
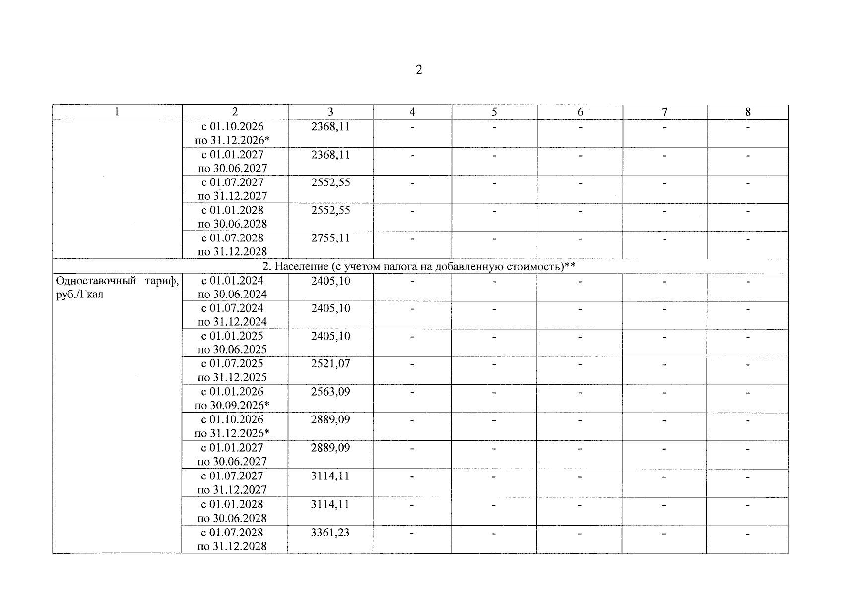
Приказ министерства тарифного регулирования Ярославской области от 11.12.2025 № 189-ви
"О внесении изменения в приказ министерства тарифного регулирования Ярославской области от 12.12.2023 № 255-тэ"
(Зарегистрирован 11.12.2025 № 43-16852)
Номер опубликования: 7601202512120045
Дата опубликования: 12.12.2025
Страница №4 из 5:
Увеличить