Официальное опубликование правовых актов
ОФИЦИАЛЬНОЕ ОПУБЛИКОВАНИЕ
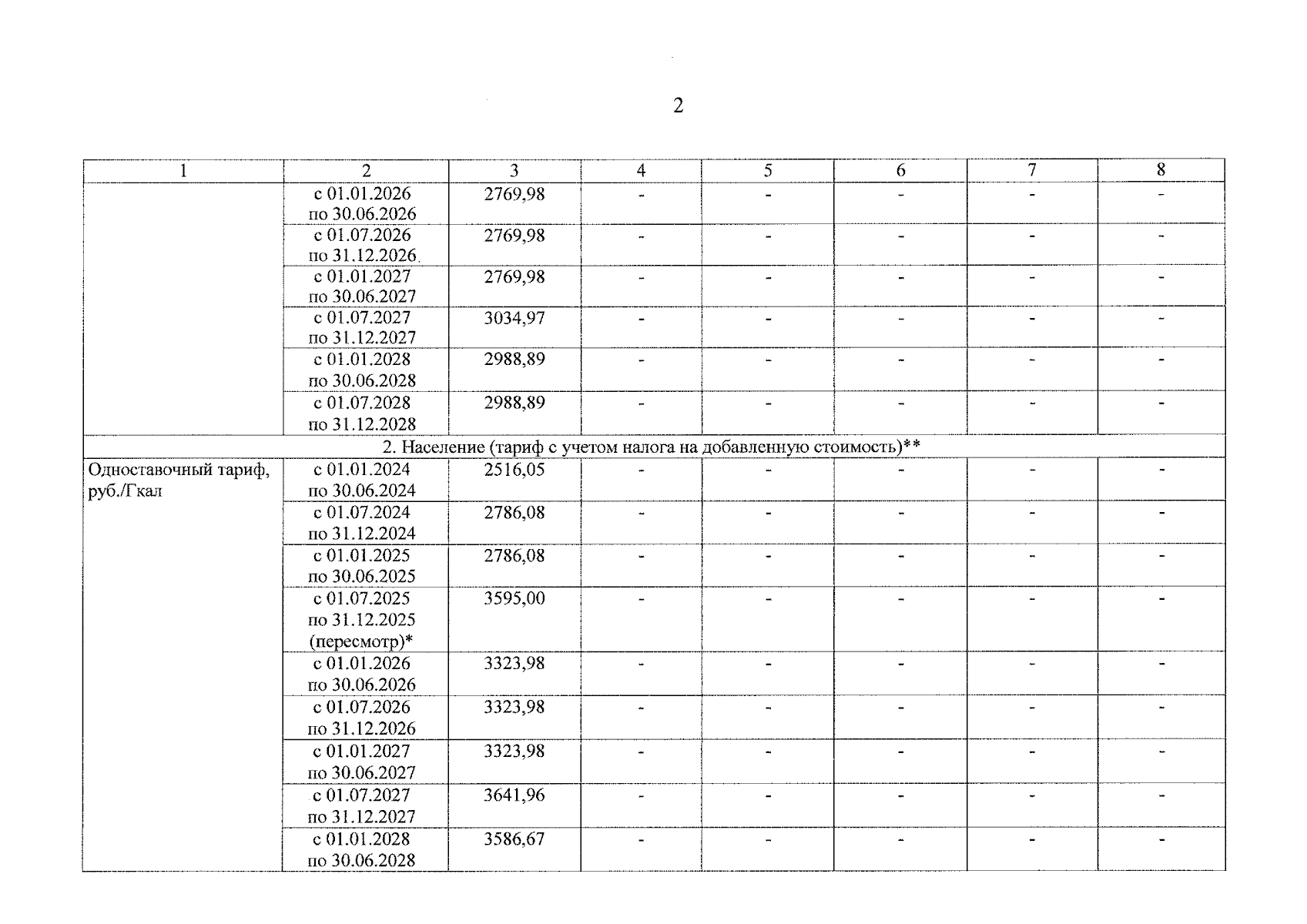
Приказ министерства тарифного регулирования Ярославской области от 30.06.2025 № 65-ви
"О внесении изменений в приказ министерства тарифного регулирования Ярославской области от 12.12.2023 № 257-тэ"
(Зарегистрирован 30.06.2025 № 43-16369)
Номер опубликования: 7601202506300011
Дата опубликования: 30.06.2025
Страница №8 из 9:
Увеличить