Официальное опубликование правовых актов
ОФИЦИАЛЬНОЕ ОПУБЛИКОВАНИЕ
Приказ министерства тарифного регулирования Ярославской области от 17.01.2025 № 1-ви
"О внесении изменений в приказ департамента жилищно-коммунального хозяйства, энергетики и регулирования тарифов Ярославской области от 20.12.2021 № 410-вс/во"
(Зарегистрирован 20.01.2025 № 43-15873)
Номер опубликования: 7601202501200019
Дата опубликования: 20.01.2025
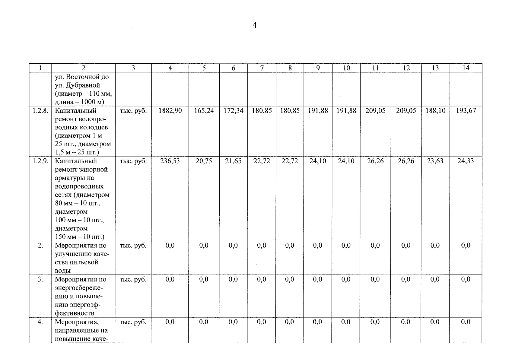
Страница №10 из 15:
Увеличить