Официальное опубликование правовых актов
ОФИЦИАЛЬНОЕ ОПУБЛИКОВАНИЕ
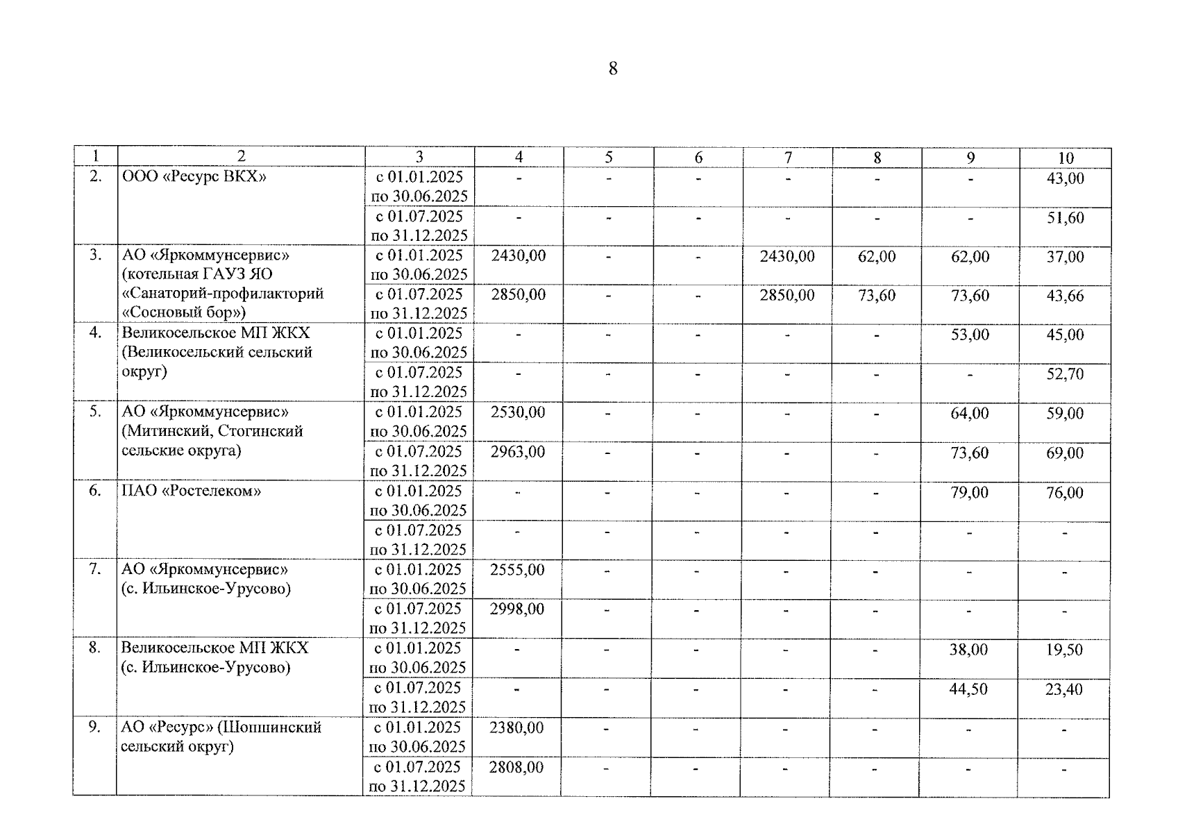
Приказ министерства тарифного регулирования Ярославской области от 18.12.2024 № 400-лт
"Об установлении льготных тарифов на тепловую энергию, питьевую холодную воду, горячую воду и водоотведение на 2025 год"
(Зарегистрирован 20.12.2024 № 43-15771)
Номер опубликования: 7601202412200038
Дата опубликования: 20.12.2024
Страница №9 из 30:
Увеличить