Официальное опубликование правовых актов
ОФИЦИАЛЬНОЕ ОПУБЛИКОВАНИЕ
Приказ министерства тарифного регулирования Ярославской области от 18.12.2024 № 398-ви
"О внесении изменений в приказ министерства тарифного регулирования Ярославской области от 27.10.2023 № 116-тко"
(Зарегистрирован 20.12.2024 № 43-15769)
Номер опубликования: 7601202412200036
Дата опубликования: 20.12.2024
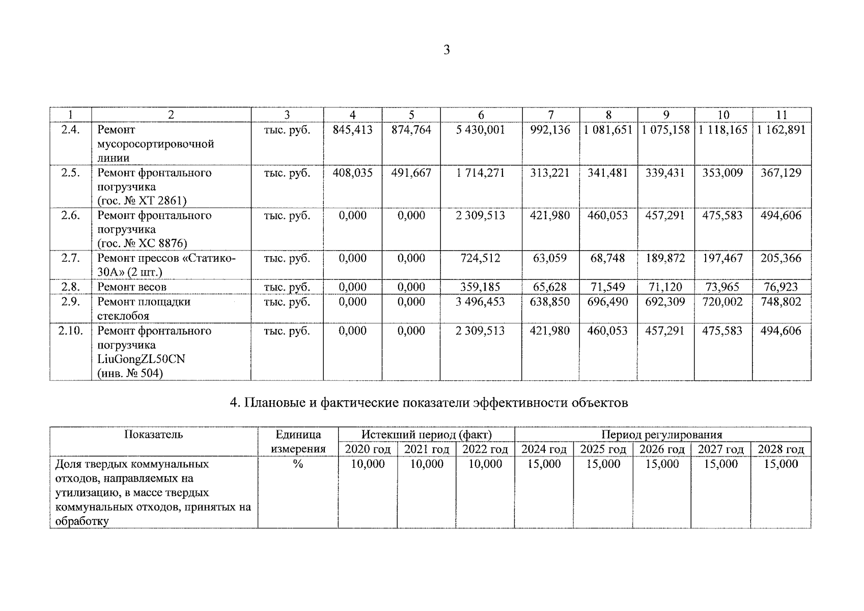
Страница №6 из 6:
Увеличить