Официальное опубликование правовых актов
ОФИЦИАЛЬНОЕ ОПУБЛИКОВАНИЕ
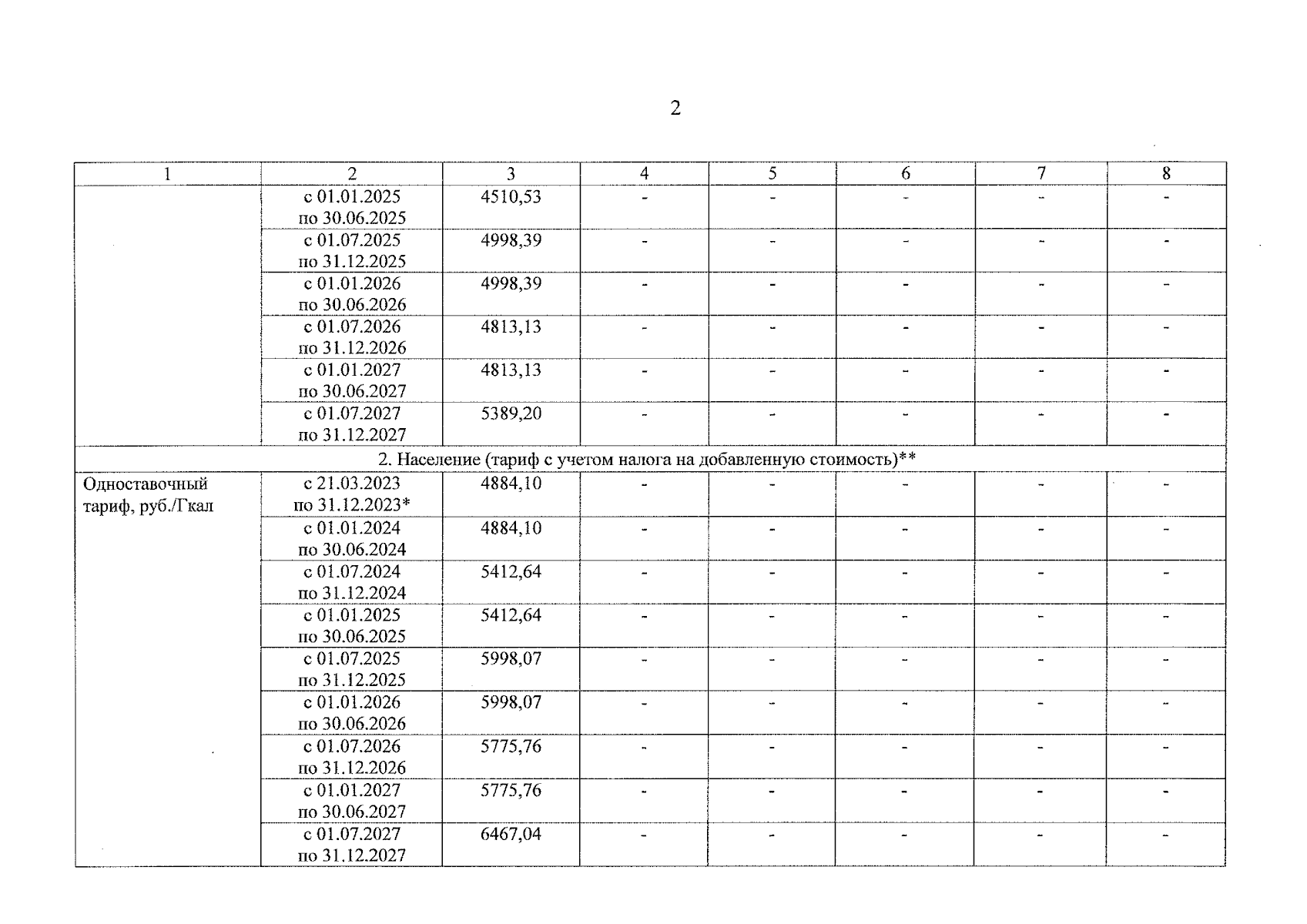
Приказ министерства тарифного регулирования Ярославской области от 17.12.2024 № 330-ви
"О внесении изменений в приказ департамента регулирования тарифов Ярославской области от 21.03.2023 № 24-тэ"
(Зарегистрирован 18.12.2024 № 43-15682)
Номер опубликования: 7601202412180017
Дата опубликования: 18.12.2024
Страница №4 из 5:
Увеличить