Официальное опубликование правовых актов
ОФИЦИАЛЬНОЕ ОПУБЛИКОВАНИЕ
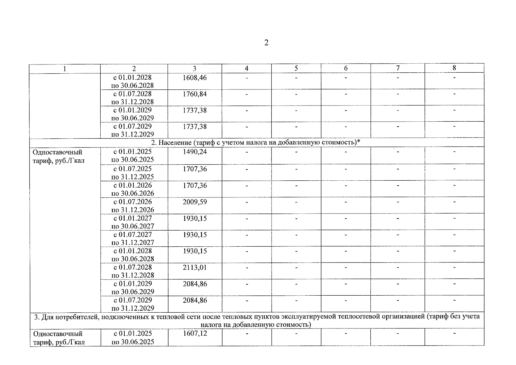
Приказ министерства тарифного регулирования Ярославской области от 17.12.2024 № 324-тэ
"Об установлении тарифов на тепловую энергию, поставляемую потребителям единой теплоснабжающей организацией обществом с ограниченной ответственностью "Управляющая производственно-торговая компания "Топливоподающие системы" (городской округ город Ярославль) в зоне деятельности единой теплоснабжающей организации, на 2025 – 2029 годы"
(Зарегистрирован 18.12.2024 № 43-15676)
Номер опубликования: 7601202412180009
Дата опубликования: 18.12.2024
Страница №6 из 10:
Увеличить