Официальное опубликование правовых актов
ОФИЦИАЛЬНОЕ ОПУБЛИКОВАНИЕ
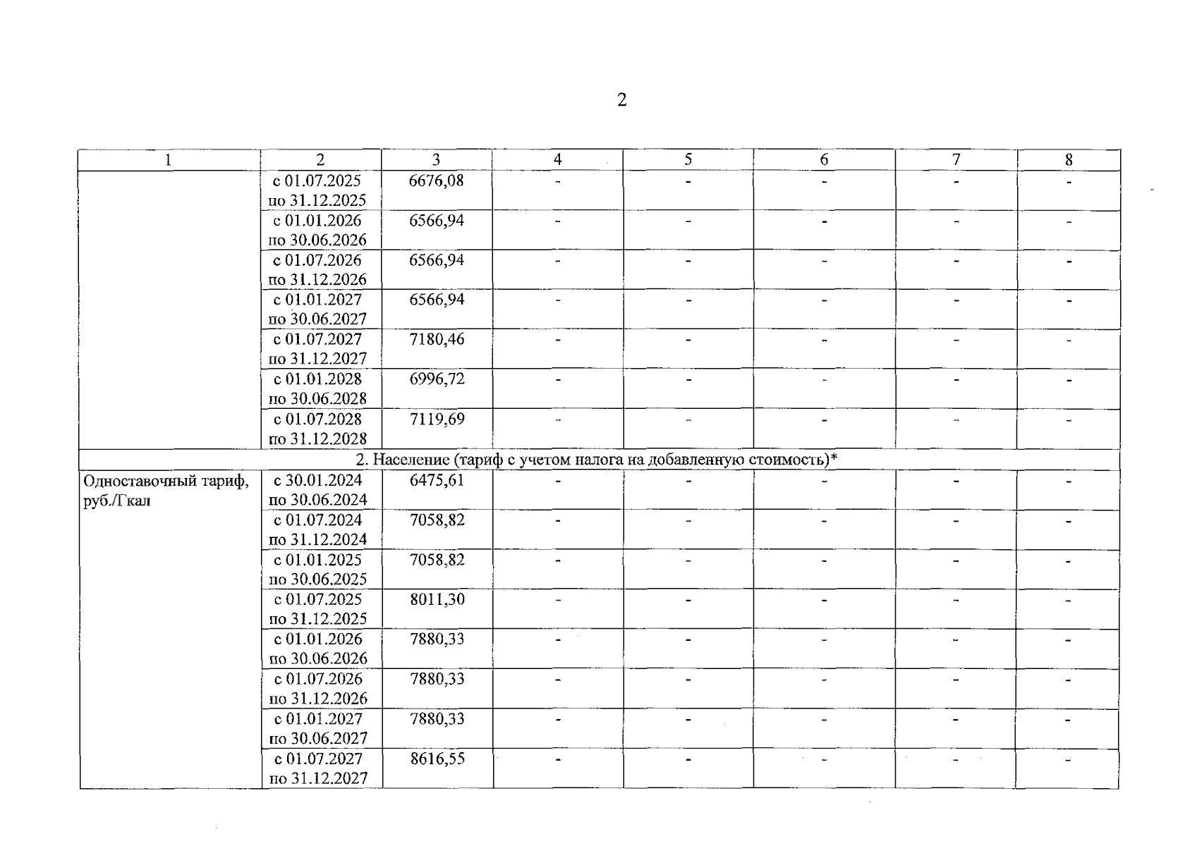
Приказ министерства тарифного регулирования Ярославской области от 11.12.2024 № 287-ви
"О внесении изменений в приказ министерства тарифного регулирования Ярославской области от 30.01.2024 № 13-тэ"
(Зарегистрирован 13.12.2024 № 43-15623)
Номер опубликования: 7601202412170016
Дата опубликования: 17.12.2024
Страница №5 из 15:
Увеличить