Официальное опубликование правовых актов
ОФИЦИАЛЬНОЕ ОПУБЛИКОВАНИЕ
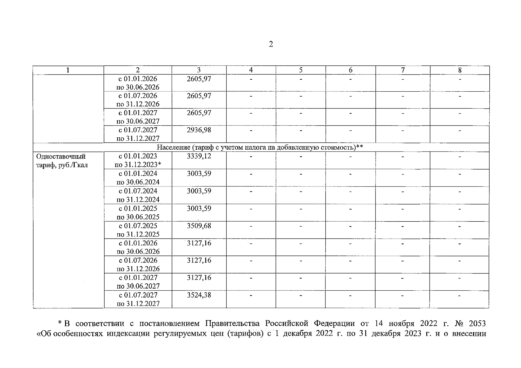
Приказ министерства тарифного регулирования Ярославской области от 05.12.2024 № 243-ви
"О внесении изменений в приказ департамента регулирования тарифов Ярославской области от 16.11.2022 № 88-тэ"
(Зарегистрирован 06.12.2024 № 43-15566)
Номер опубликования: 7601202412110009
Дата опубликования: 11.12.2024
Страница №4 из 14:
Увеличить