Официальное опубликование правовых актов
ОФИЦИАЛЬНОЕ ОПУБЛИКОВАНИЕ
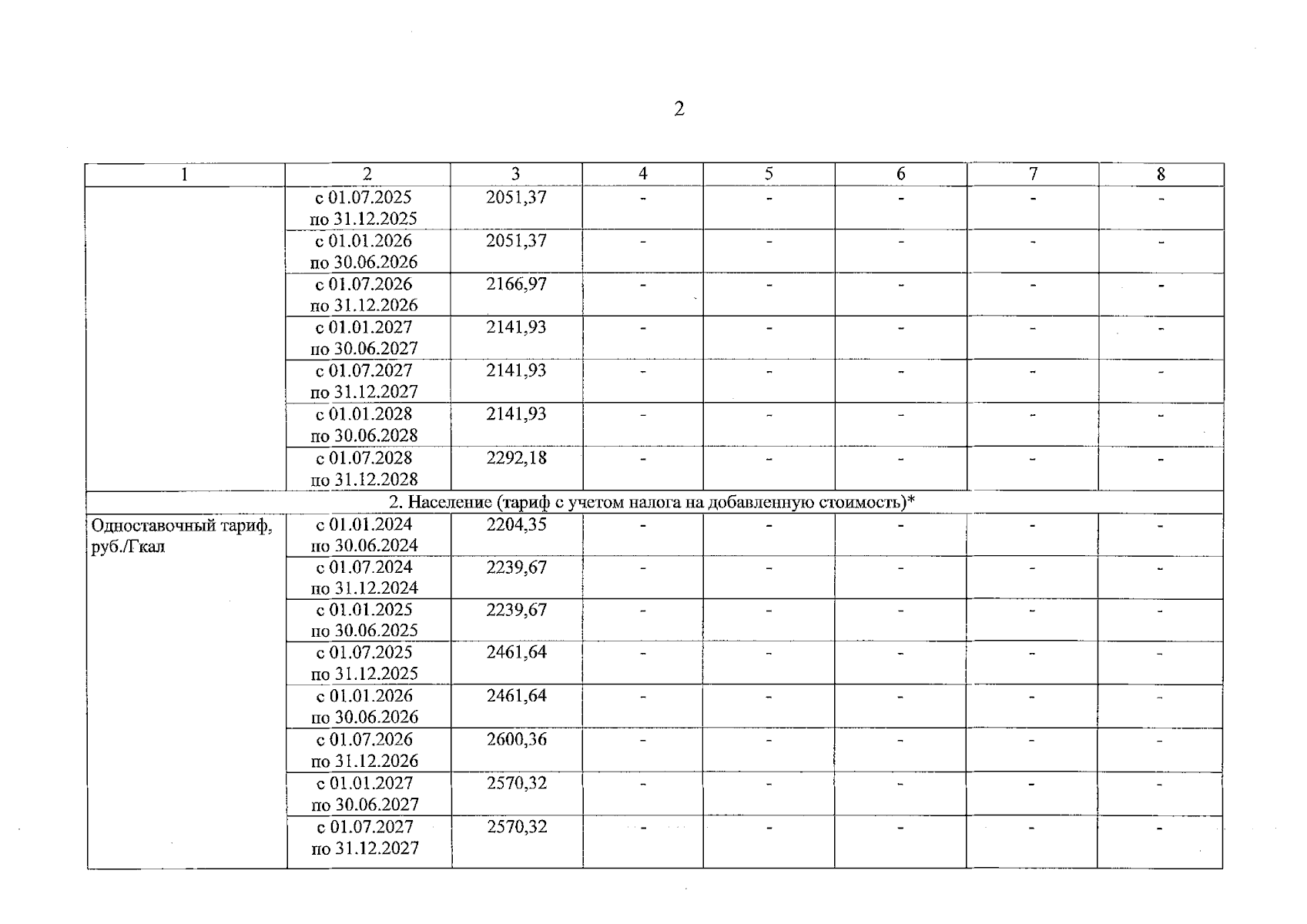
Приказ министерства тарифного регулирования Ярославской области от 05.12.2024 № 245-ви
"О внесении изменений в приказ министерства тарифного регулирования Ярославской области от 22.11.2023 № 196-тэ"
(Зарегистрирован 06.12.2024 № 43-15568)
Номер опубликования: 7601202412110008
Дата опубликования: 11.12.2024
Страница №6 из 7:
Увеличить