Официальное опубликование правовых актов
ОФИЦИАЛЬНОЕ ОПУБЛИКОВАНИЕ
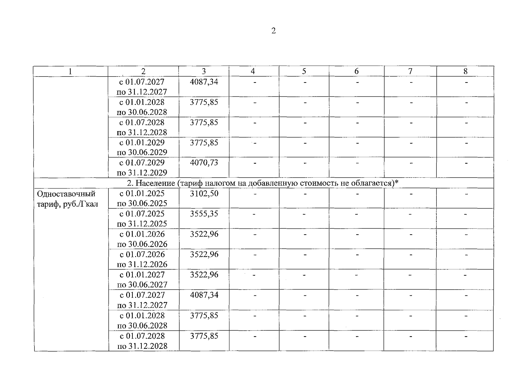
Приказ министерства тарифного регулирования Ярославской области от 22.10.2024 № 109-тэ
"Об установлении тарифов на тепловую энергию, поставляемую потребителям обществом с ограниченной ответственностью "Теплогазсервис" (Некрасовский муниципальный округ), на 2025 – 2029 годы"
(Зарегистрирован 23.10.2024 № 43-15335)
Номер опубликования: 7601202410280006
Дата опубликования: 28.10.2024
Страница №4 из 6:
Увеличить