Официальное опубликование правовых актов
ОФИЦИАЛЬНОЕ ОПУБЛИКОВАНИЕ
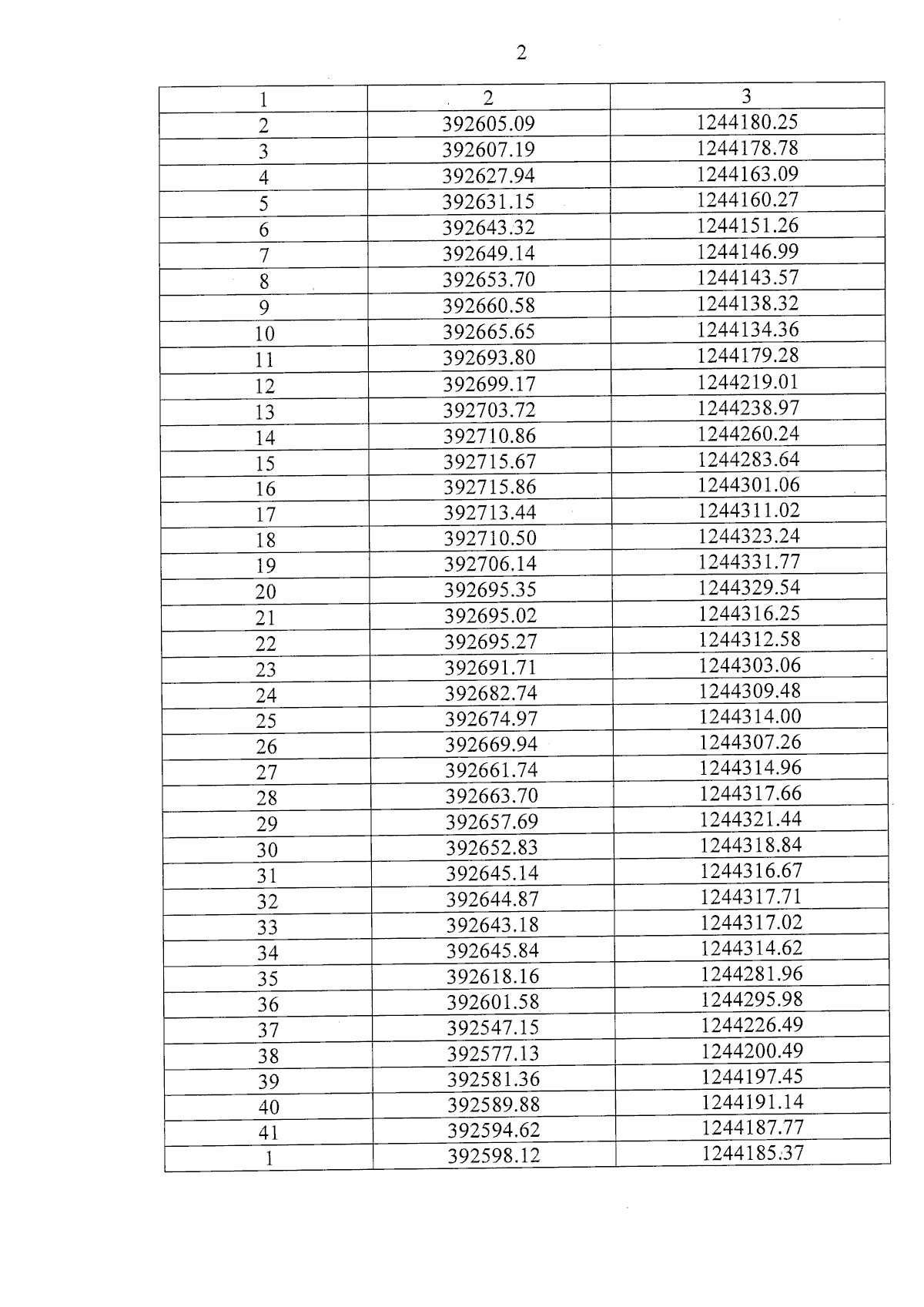
Приказ государственной службы охраны объектов культурного наследия Ярославской области от 13.09.2024 № 191
"Об утверждении границ территории объекта культурного наследия регионального значения"
(Зарегистрирован 16.09.2024 № 36-15214)
Номер опубликования: 7601202409180006
Дата опубликования: 18.09.2024
Страница №3 из 4:
Увеличить