Официальное опубликование правовых актов
ОФИЦИАЛЬНОЕ ОПУБЛИКОВАНИЕ
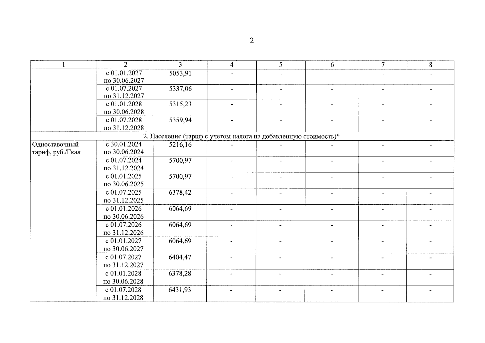
Приказ министерства тарифного регулирования Ярославской области от 30.01.2024 № 13-тэ
"Об установлении тарифов на тепловую энергию, поставляемую потребителям акционерным обществом "Яркоммунсервис" (с учетом затрат на передачу тепловой энергии, теплоносителя по сетям государственного предприятия Ярославской области "Северный водоканал"), на 2024 – 2028 годы"
(Зарегистрирован 30.01.2024 № 43-14533)
Номер опубликования: 7601202401310018
Дата опубликования: 31.01.2024
Страница №11 из 14:
Увеличить