Официальное опубликование правовых актов
ОФИЦИАЛЬНОЕ ОПУБЛИКОВАНИЕ
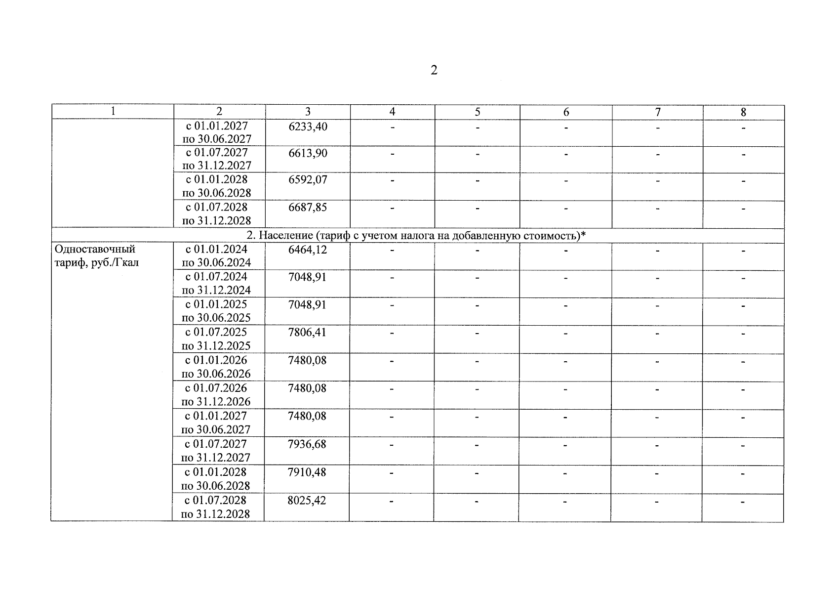
Приказ министерства тарифного регулирования Ярославской области от 19.12.2023 № 395-тэ
"Об установлении тарифов на тепловую энергию, поставляемую потребителям акционерным обществом "Яркоммунсервис" (с учетом затрат на передачу тепловой энергии, теплоносителя по сетям теплосетевых организаций), на 2024 – 2028 годы"
(Зарегистрирован 20.12.2023 № 43-14415)
Номер опубликования: 7601202312210076
Дата опубликования: 21.12.2023
Страница №8 из 23:
Увеличить