Официальное опубликование правовых актов
ОФИЦИАЛЬНОЕ ОПУБЛИКОВАНИЕ
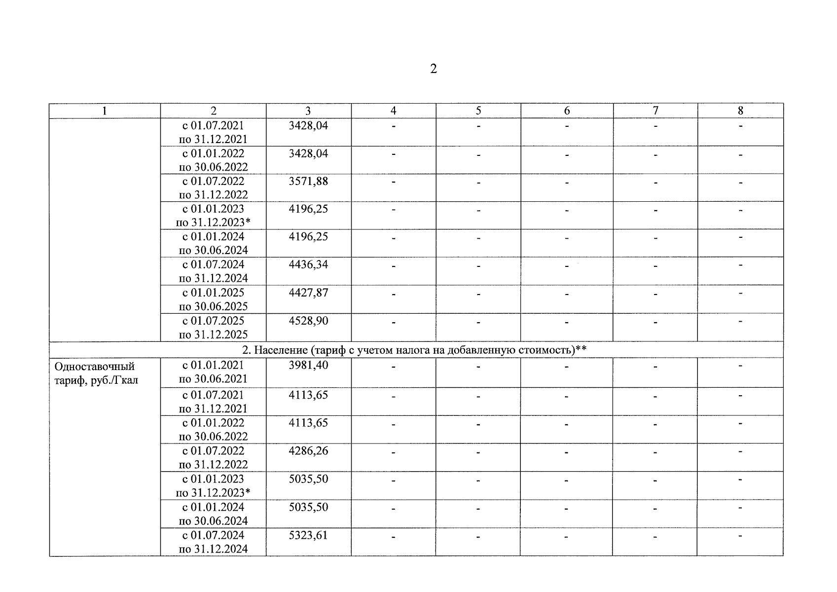
Приказ министерства тарифного регулирования Ярославской области от 19.12.2023 № 357-ви
"О внесении изменений в приказ департамента жилищно-коммунального хозяйства, энергетики и регулирования тарифов Ярославской области от 17.12.2020 № 250-тэ"
(Зарегистрирован 20.12.2023 № 43-14410)
Номер опубликования: 7601202312210070
Дата опубликования: 21.12.2023
Страница №11 из 12:
Увеличить