Официальное опубликование правовых актов
ОФИЦИАЛЬНОЕ ОПУБЛИКОВАНИЕ
Приказ министерства тарифного регулирования Ярославской области от 12.12.2023 № 261-ви
"О внесении изменений в приказ департамента жилищно-коммунального хозяйства, энергетики и регулирования тарифов Ярославской области от 17.12.2020 № 368-вс/во"
(Зарегистрирован 14.12.2023 № 43-14226)
Номер опубликования: 7601202312180049
Дата опубликования: 18.12.2023
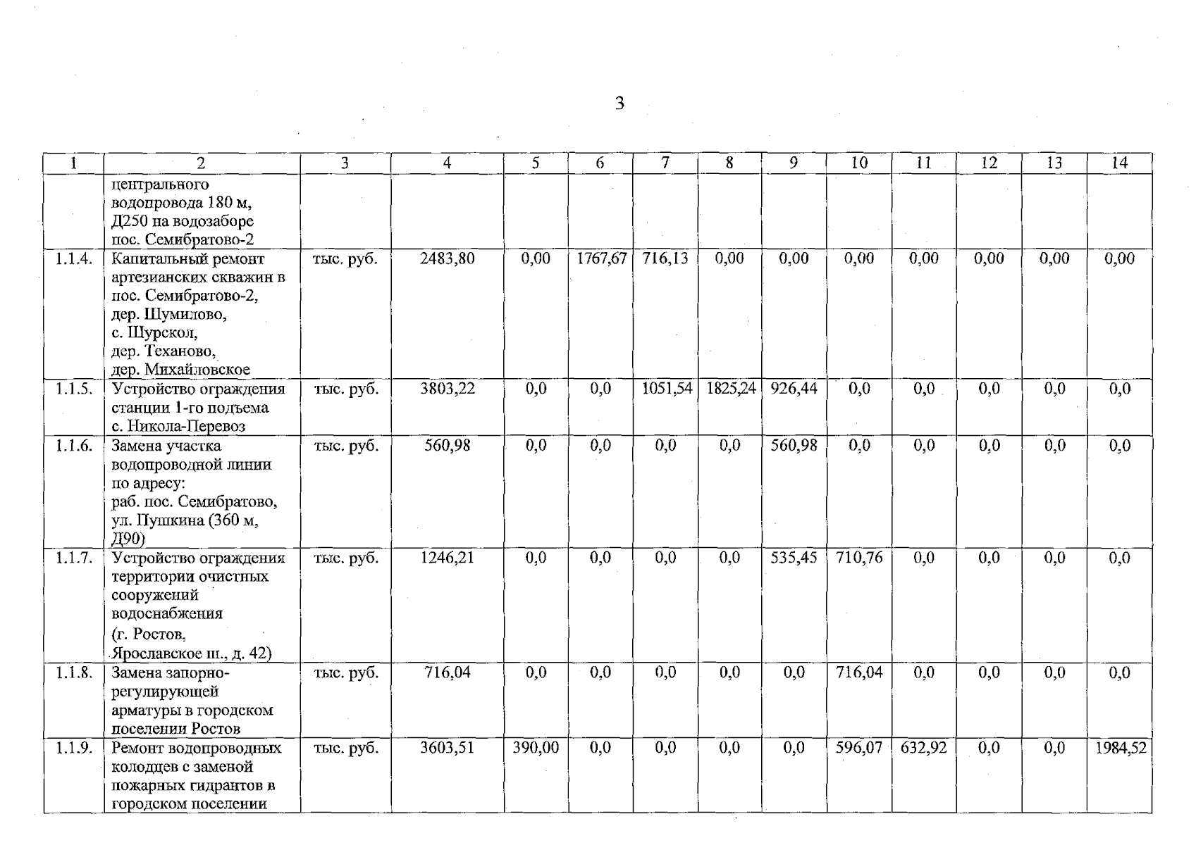
Страница №7 из 14:
Увеличить