Приказ министерства тарифного регулирования Ярославской области от 22.11.2023 № 197-тэ
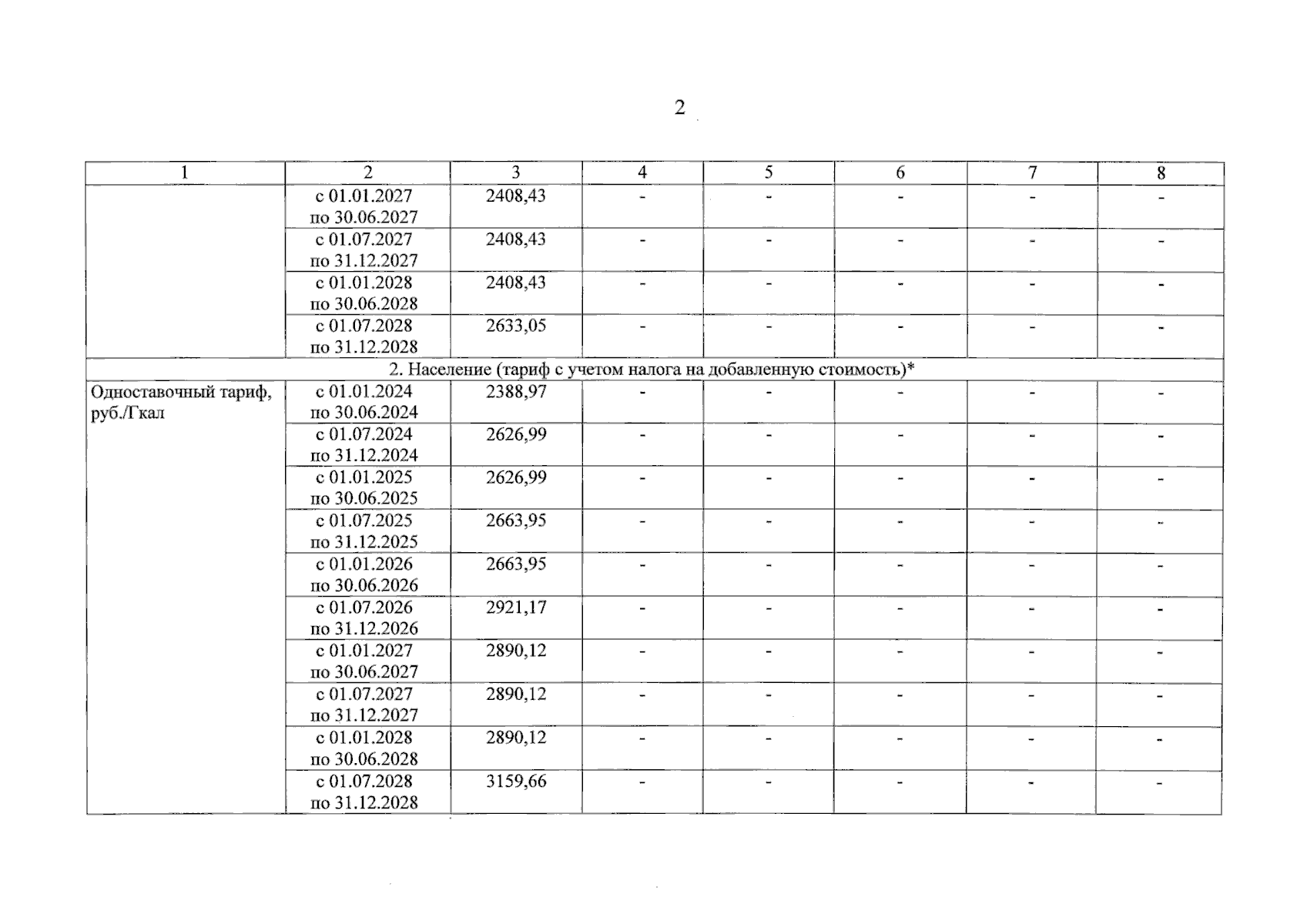
"Об установлении тарифов на тепловую энергию, поставляемую потребителям открытым акционерным обществом "Российские железные дороги" (Северной дирекцией по тепловодоснабжению – структурным подразделением Центральной дирекции по тепловодоснабжению – филиала открытого акционерного общества "Российские железные дороги") (котельная станции Сахареж Некрасовского муниципального района), на 2024 – 2028 годы"
(Зарегистрирован 24.11.2023 № 43-14095)
"Об установлении тарифов на тепловую энергию, поставляемую потребителям открытым акционерным обществом "Российские железные дороги" (Северной дирекцией по тепловодоснабжению – структурным подразделением Центральной дирекции по тепловодоснабжению – филиала открытого акционерного общества "Российские железные дороги") (котельная станции Сахареж Некрасовского муниципального района), на 2024 – 2028 годы"
(Зарегистрирован 24.11.2023 № 43-14095)
Номер опубликования: 7601202311280020
Дата опубликования:
28.11.2023
