Официальное опубликование правовых актов
ОФИЦИАЛЬНОЕ ОПУБЛИКОВАНИЕ
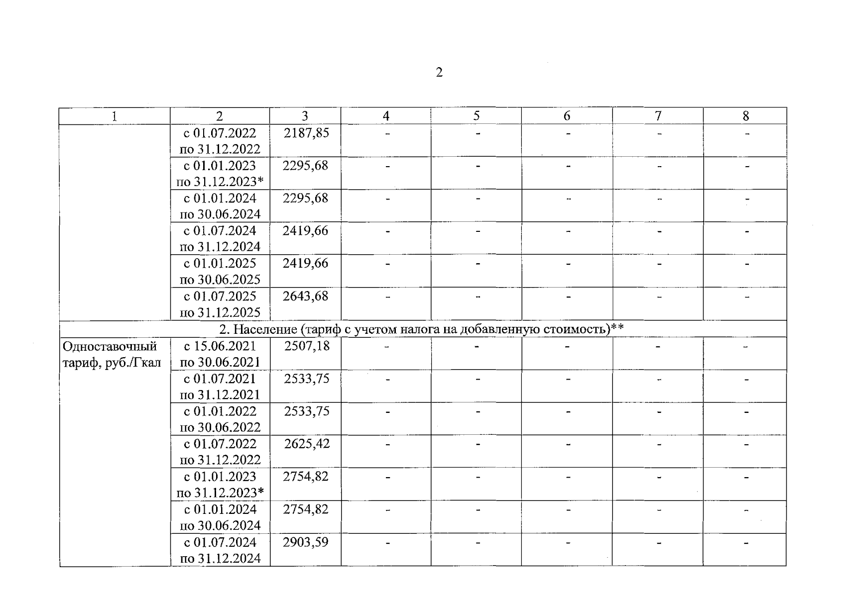
Приказ министерства тарифного регулирования Ярославской области от 13.11.2023 № 146-ви
"О внесении изменений в приказ департамента жилищно-коммунального хозяйства, энергетики и регулирования тарифов Ярославской области от 11.06.2021 № 38-тэ"
(Зарегистрирован 14.11.2023 № 43-14004)
Номер опубликования: 7601202311170017
Дата опубликования: 17.11.2023
Страница №4 из 5:
Увеличить