Официальное опубликование правовых актов
ОФИЦИАЛЬНОЕ ОПУБЛИКОВАНИЕ
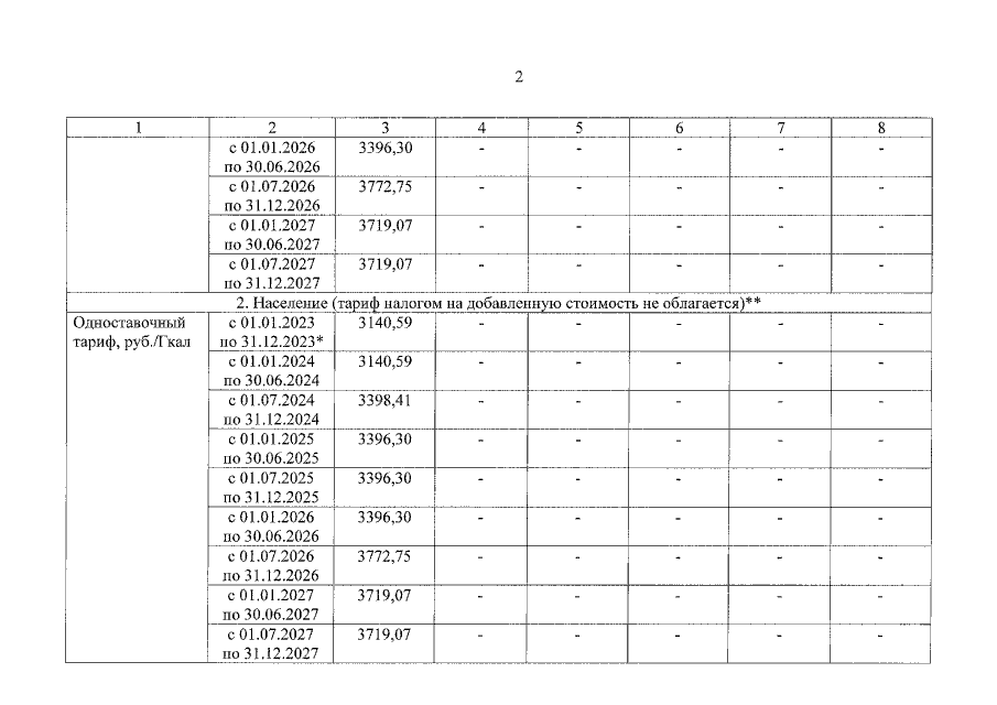
Приказ Департамента регулирования тарифов Ярославской области от 17.11.2022 № 106-тэ
"Об установлении тарифов на тепловую энергию, поставляемую потребителям муниципальным унитарным предприятием "Предприятие коммунально-бытового обслуживания" (Угличский муниципальный район), на 2023 – 2027 годы"
(Зарегистрирован 17.11.2022 № 43-12911)
Номер опубликования: 7601202211170018
Дата опубликования: 17.11.2022
Страница №4 из 6:
Увеличить