Официальное опубликование правовых актов
ОФИЦИАЛЬНОЕ ОПУБЛИКОВАНИЕ
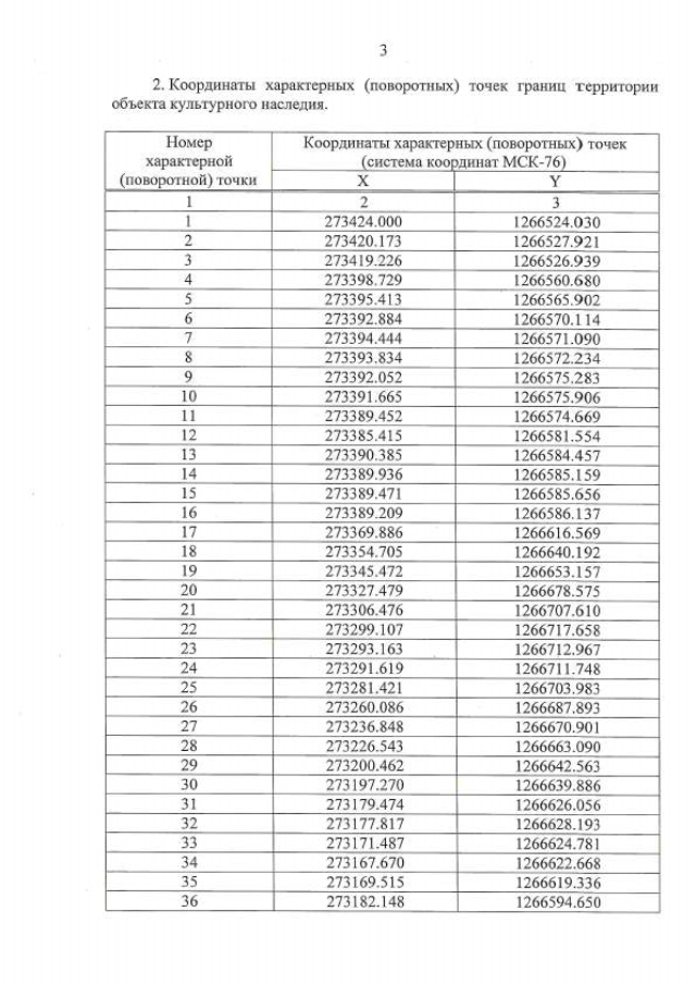
Приказ Департамента охраны объектов культурного наследия Ярославской области от 15.09.2022 № 91
"Об утверждении границ территории объекта культурного наследия федерального значения и о признании частично утратившими силу приказов департамента культуры Ярославской области от 31.08.2012 № 44 и от 09.01.2014 № 1"
(Зарегистрирован 16.09.2022 № 36-12751)
Номер опубликования: 7601202209190002
Дата опубликования: 19.09.2022
Страница №5 из 7:
Увеличить