Официальное опубликование правовых актов
ОФИЦИАЛЬНОЕ ОПУБЛИКОВАНИЕ
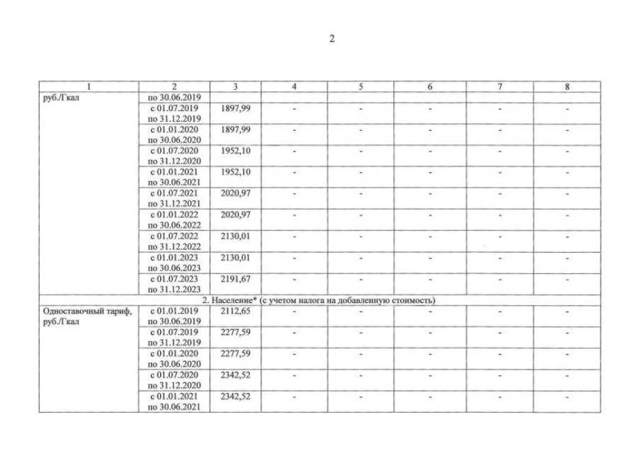
Приказ Департамента жилищно-коммунального хозяйства, энергетики и регулирования тарифов Ярославской области от 20.12.2021 № 378-ви
"О внесении изменений в приказ департамента жилищно-коммунального хозяйства, энергетики и регулирования тарифов Ярославской области от 19.12.2018 № 306-тэ"
(Зарегистрирован 20.12.2021 № 07-12123)
Номер опубликования: 7601202112280012
Дата опубликования: 28.12.2021
Страница №13 из 23:
Увеличить