Официальное опубликование правовых актов
ОФИЦИАЛЬНОЕ ОПУБЛИКОВАНИЕ
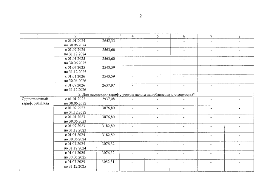
Приказ Департамента жилищно-коммунального хозяйства, энергетики и регулирования тарифов Ярославской области от 20.12.2021 № 347-тэ
"Об установлении тарифов на тепловую энергию, поставляемую потребителям акционерным обществом "Яркоммунсервис" (филиал "Даниловский") (с учетом затрат на производство тепловой энергии акционерного общества "Яркоммунсервис" (филиал "Даниловский") и затрат на передачу тепловой энергии по тепловым сетям акционерного общества "Даниловское жилищно-коммунальное хозяйство"), на 2022 – 2026 годы"
(Зарегистрирован 20.12.2021 № 07-12100)
Номер опубликования: 7601202112210171
Дата опубликования: 21.12.2021
Страница №4 из 5:
Увеличить