Официальное опубликование правовых актов
ОФИЦИАЛЬНОЕ ОПУБЛИКОВАНИЕ
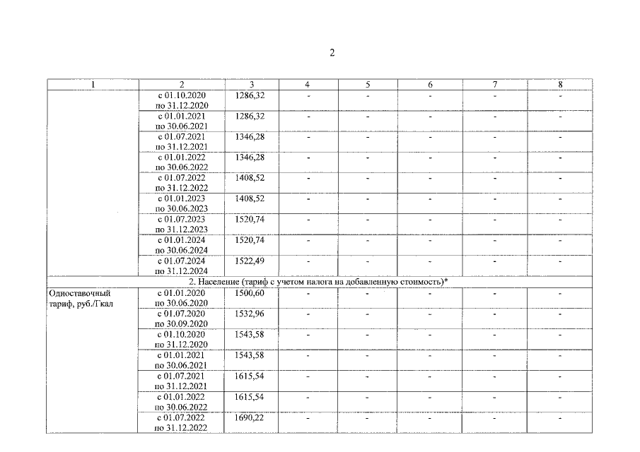
Приказ Департамента жилищно-коммунального хозяйства, энергетики и регулирования тарифов Ярославской области от 20.12.2021 № 298-ви
"О внесении изменений в приказ департамента жилищно-коммунального хозяйства, энергетики и регулирования тарифов Ярославской области от 18.12.2019 № 349-тэ"
(Зарегистрирован 20.12.2021 № 07-12004)
Номер опубликования: 7601202112210075
Дата опубликования: 21.12.2021
Страница №7 из 8:
Увеличить