Официальное опубликование правовых актов
ОФИЦИАЛЬНОЕ ОПУБЛИКОВАНИЕ
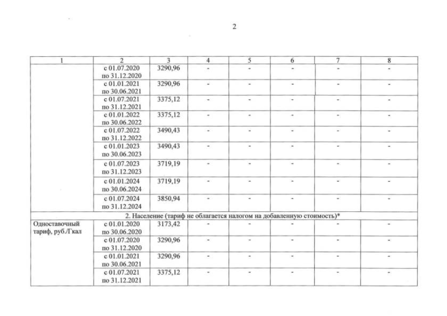
Приказ Департамента жилищно-коммунального хозяйства, энергетики и регулирования тарифов Ярославской области от 25.11.2021 № 112-ви
"О внесении изменений в приказ департамента жилищно-коммунального хозяйства, энергетики и регулирования тарифов Ярославской области от 16.12.2019 № 263-тэ"
(Зарегистрирован 25.11.2021 № 07-11808)
Номер опубликования: 7601202111300001
Дата опубликования: 30.11.2021
Страница №6 из 7:
Увеличить