Официальное опубликование правовых актов
ОФИЦИАЛЬНОЕ ОПУБЛИКОВАНИЕ
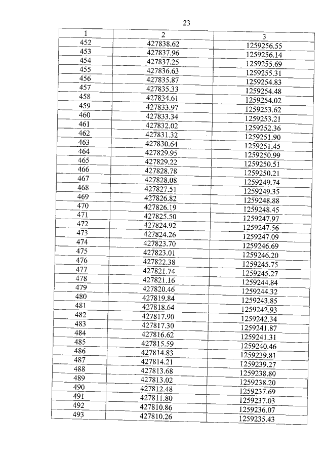
Приказ Департамента охраны окружающей среды и природопользования Ярославской области от 29.09.2021 № 28-н
"Об установлении зон санитарной охраны"
(Зарегистрирован 22.10.2021 № 13-11708)
Номер опубликования: 7601202110280006
Дата опубликования: 28.10.2021
Страница №24 из 58:
Увеличить