Официальное опубликование правовых актов
ОФИЦИАЛЬНОЕ ОПУБЛИКОВАНИЕ
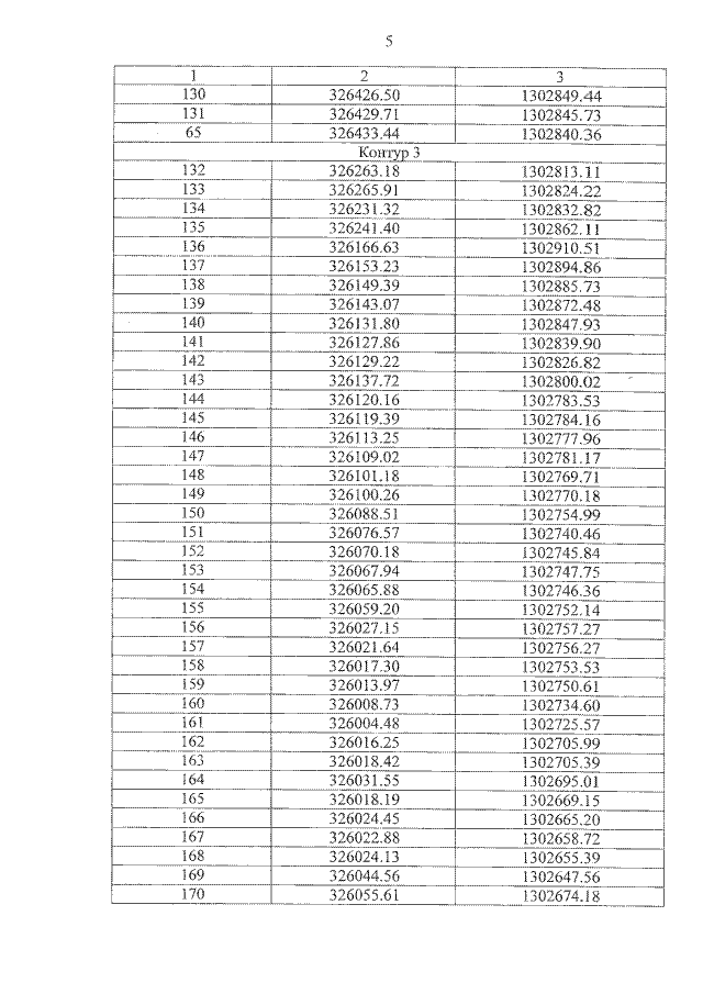
Приказ Департамента охраны объектов культурного наследия Ярославской области от 15.10.2021 № 98
"Об утверждении границ территории объекта культурного наследия федерального значения"
(Зарегистрирован 15.10.2021 № 36-11687)
Номер опубликования: 7601202110200002
Дата опубликования: 20.10.2021
Страница №6 из 14:
Увеличить